Difference between revisions of "User:Tohline/SSC/Stability/Polytropes"

From VistrailsWiki
Jump to navigation Jump to search
(→‎Try Again: Finished shifting from dr_0 to dm_*)
Line 4,574: Line 4,574:
   <td align="left">
   <td align="left">
<math>~\biggl[ \frac{\pi}{2^3\cdot 3}\biggr]^{1/2} {\tilde\xi}^{-6} \biggl(1+\frac{\tilde\xi^2}{3}\biggr)^3
<math>~\biggl[ \frac{\pi}{2^3\cdot 3}\biggr]^{1/2} {\tilde\xi}^{-6} \biggl(1+\frac{\tilde\xi^2}{3}\biggr)^3
= \biggl[ \frac{\pi}{2^3\cdot 3^7}\biggr]^{1 / 2} \biggl[ \frac{( 3+\tilde\xi^2)}{ {\tilde\xi}^2} \biggr]^{3}  
= \biggl[ \frac{\pi}{2^3\cdot 3^7}\biggr]^{1 / 2} \biggl[ \frac{\tilde{C}}{ 3} \biggr]^{3}  
\, .
\, .
</math>
</math>
Line 4,637: Line 4,637:
   </td>
   </td>
   <td align="left">
   <td align="left">
<math>~3^{1 / 2} \tilde{r}_\mathrm{edge} \biggl\{
<math>~ \biggl( \frac{3^{1 / 2}}{2} \biggr) \tilde{r}_\mathrm{edge} m_*^{-1 / 2} (1-m_*)^{-3 / 2} dm_*
\frac{1}{2} (1-m_*)^{- 1 / 2} m_*^{-1 / 2} + \frac{1}{2}m_*^{1 / 2}(1-m_*)^{-3 / 2}
</math>
\biggr\} dm_*
  </td>
</tr>
 
<tr>
  <td align="right">
<math>\Rightarrow ~~~ R_\mathrm{norm} \cdot \frac{d}{dr_0} </math>
  </td>
  <td align="center">
<math>~=</math>
  </td>
  <td align="left">
<math>~  \frac{1}{ \tilde{r}_\mathrm{edge}} \biggl( \frac{2}{3^{1 / 2}} \biggr) m_*^{1 / 2} (1-m_*)^{3 / 2} \frac{d}{dm_*} \, .
</math>
  </td>
</tr>
</table>
</div>
We therefore also have,
 
<div align="center">
<table border="0" cellpadding="5" align="center">
 
<tr>
  <td align="right">
<math>~ R^2_\mathrm{norm} \cdot \frac{d^2}{dr_0^2} </math>
  </td>
  <td align="center">
<math>~=</math>
  </td>
  <td align="left">
<math>~  \frac{1}{ {\tilde{r}}^2_\mathrm{edge}} \biggl( \frac{2^2}{3} \biggr) m_*^{1 / 2} (1-m_*)^{3 / 2} \frac{d}{dm_*}\biggl[ m_*^{1 / 2} (1-m_*)^{3 / 2} \frac{d}{dm_*}\biggr]
</math>
  </td>
</tr>
 
<tr>
  <td align="right">
&nbsp;
  </td>
  <td align="center">
<math>~=</math>
  </td>
  <td align="left">
<math>~  \frac{1}{ {\tilde{r}}^2_\mathrm{edge}} \biggl( \frac{2^2}{3} \biggr) m_*^{1 / 2} (1-m_*)^{3 / 2}
\biggl\{
\biggl[ m_*^{1 / 2} (1-m_*)^{3 / 2} \frac{d^2}{dm_*^2}\biggr]
+ \biggl[ \frac{1}{2} m_*^{-1 / 2} (1-m_*)^{3 / 2} + \frac{3}{2}m_*^{1 / 2} (1-m_*)^{1 / 2}\biggr]  \frac{d}{dm_*}
\biggr\}
</math>
  </td>
</tr>
 
<tr>
  <td align="right">
&nbsp;
  </td>
  <td align="center">
<math>~=</math>
  </td>
  <td align="left">
<math>~  \frac{1}{ {\tilde{r}}^2_\mathrm{edge}} \biggl( \frac{2}{3} \biggr) \biggl\{ 
\biggl[ 2m_* (1-m_*)^{3} \frac{d^2}{dm_*^2}\biggr]
+ \biggl[  (1-m_*)^{3 } + 3m_* (1-m_*)^{2}\biggr]  \frac{d}{dm_*}
\biggr\}
</math>
  </td>
</tr>
 
<tr>
  <td align="right">
&nbsp;
  </td>
  <td align="center">
<math>~=</math>
  </td>
  <td align="left">
<math>~  \frac{1}{ {\tilde{r}}^2_\mathrm{edge}} \biggl( \frac{2}{3} \biggr) \biggl\{ 
2m_* (1-m_*)^{3} \frac{d^2}{dm_*^2}
+ (1-m_*)^{2} ( 1 + 2m_* )  \frac{d}{dm_*}
\biggr\} \, .
</math>
</math>
   </td>
   </td>

Revision as of 16:33, 4 November 2016

Radial Oscillations of Polytropic Spheres

Whitworth's (1981) Isothermal Free-Energy Surface
|   Tiled Menu   |   Tables of Content   |  Banner Video   |  Tohline Home Page   |

Groundwork

Adiabatic (Polytropic) Wave Equation

In an accompanying discussion, we derived the so-called,

Adiabatic Wave (or Radial Pulsation) Equation

LSU Key.png

<math>~ \frac{d^2x}{dr_0^2} + \biggl[\frac{4}{r_0} - \biggl(\frac{g_0 \rho_0}{P_0}\biggr) \biggr] \frac{dx}{dr_0} + \biggl(\frac{\rho_0}{\gamma_\mathrm{g} P_0} \biggr)\biggl[\omega^2 + (4 - 3\gamma_\mathrm{g})\frac{g_0}{r_0} \biggr] x = 0 </math>


whose solution gives eigenfunctions that describe various radial modes of oscillation in spherically symmetric, self-gravitating fluid configurations. If the initial, unperturbed equilibrium configuration is a polytropic sphere whose internal structure is defined by the function, <math>~\theta(\xi)</math>, then

<math>~r_0</math>

<math>~=</math>

<math>~a_n \xi \, ,</math>

<math>~\rho_0</math>

<math>~=</math>

<math>~\rho_c \theta^{n} \, ,</math>

<math>~P_0</math>

<math>~=</math>

<math>~K\rho_0^{(n+1)/n} = K\rho_c^{(n+1)/n} \theta^{n+1} \, ,</math>

<math>~g_0</math>

<math>~=</math>

<math>~\frac{GM(r_0)}{r_0^2} = \frac{G}{r_0^2} \biggl[ 4\pi a_n^3 \rho_c \biggl(-\xi^2 \frac{d\theta}{d\xi}\biggr) \biggr] \, ,</math>

where,

<math>~a_n</math>

<math>~=</math>

<math>~\biggl[\frac{(n+1)K}{4\pi G} \cdot \rho_c^{(1-n)/n} \biggr]^{1/2} \, .</math>

Hence, after multiplying through by <math>~a_n^2</math>, the above adiabatic wave equation can be rewritten in the form,

<math>~\frac{d^2x}{d\xi^2} + \biggl[\frac{4}{\xi} - \frac{g_0}{a_n}\biggl(\frac{a_n^2 \rho_0}{P_0}\biggr) \biggr] \frac{dx}{d\xi} + \biggl(\frac{a_n^2\rho_0}{\gamma_\mathrm{g} P_0} \biggr)\biggl[\omega^2 + (4 - 3\gamma_\mathrm{g})\frac{g_0}{a_n\xi} \biggr] x </math>

<math>~=</math>

<math>~0 \, .</math>

In addition, given that,

<math>~\frac{g_0}{a_n}</math>

<math>~=</math>

<math>~4\pi G \rho_c \biggl(-\frac{d \theta}{d\xi} \biggr) \, ,</math>

and,

<math>~\frac{a_n^2 \rho_0}{P_0}</math>

<math>~=</math>

<math>~\frac{(n+1)}{(4\pi G\rho_c)\theta} = \frac{a_n^2 \rho_c}{P_c} \cdot \frac{\theta_c}{\theta}\, ,</math>

we can write,

<math>~\frac{d^2x}{d\xi^2} + \biggl[\frac{4 - (n+1)V(\xi)}{\xi} \biggr] \frac{dx}{d\xi} + \biggl[\omega^2 \biggl(\frac{a_n^2 \rho_c }{\gamma_g P_c} \biggr) \frac{\theta_c}{\theta} - \biggl(3-\frac{4}{\gamma_g}\biggr) \cdot \frac{(n+1)V(x)}{\xi^2} \biggr] x </math>

<math>~=</math>

<math>0 \, ,</math>

where we have adopted the function notation,

<math>~V(\xi)</math>

<math>~\equiv</math>

<math>~- \frac{\xi}{\theta} \frac{d \theta}{d\xi} \, .</math>

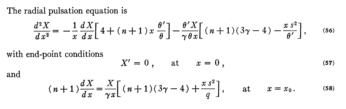
As can be seen in the following framed image, this is the form of the polytropic wave equation published by J. O. Murphy & R. Fiedler (1985b, Proc. Astron. Soc. Australia, 6, 222), at the beginning of their discussion of "Radial Pulsations and Vibrational Stability of a Sequence of Two Zone Polytropic Stellar Models." (NOTE: There appears to be a sign error in the numerator of the second term of their published expression; there also appears to be an error in the definition of the coefficient, <math>~\alpha^*</math>, as given in the text of their paper.)

Polytropic Wave Equation extracted from J. O. Murphy & R. Fiedler (1985b)

"Radial Pulsations and Vibrational Stability of a Sequence of Two Zone Polytropic Stellar Models"

Proceeding of the Astronomical Society of Australia, vol. 6, pp. 222 - 226 © Astronomical Society of Australia

Murphy & Fiedler (1985b)
Equations displayed here, as a single digital image, with layout modified from the original publication.


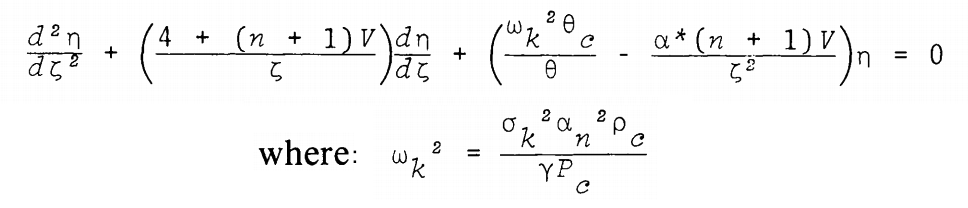
It is also the same as the radial pulsation equation for polytropic configurations that appears as equation (56) in the detailed discussion of "The Oscillations of Gas Spheres" published by H M. Hurley, P. H. Roberts, & K. Wright (1966, ApJ, 143, 535); hereafter, we will refer to this paper as HRW66. The relevant set of equations from HRW66 has been extracted as a single digital image and reprinted, here, as a boxed-in image.

Radial Pulsation Equation as Presented by M. Hurley, P. H. Roberts, & K. Wright (1966)

"The Oscillations of Gas Spheres"

The Astrophysical Journal, vol. 143, pp. 535 - 551 © American Astronomical Society

Hurley, Roberts & Wright (1966)

Set of equations and accompanying text displayed here, as a single digital image, exactly as they appear in the original publication.

In order to make clearer the correspondence between our derived expression and the one published by HRW66, we will rewrite the HRW66 radial pulsation equation: (1) Gathering all terms on the same side of the equation; (2) making the substitution,

<math>\theta^' \rightarrow -\frac{\theta V}{x} \, ;</math>

and (3) reattaching a "prime" to the quantity, <math>~s</math>, to emphasize that it is a dimensionless frequency.

ASIDE: In their equation (46), HRW66 convert the eigenfrequency, <math>~s</math> — which has units of inverse time — to a dimensionless eigenfrequency, <math>~s^'</math>, via the relation,

<math>~s = \biggl( \frac{4\pi G \rho_c}{1+n} \biggr)^{1/2} s^' ~~~~~~~\cdots\cdots~~~~~~~(46)</math>

Then, immediately following equation (46), they state that they will "omit the prime on <math>~s</math> henceforward." As a result, the dimensionless eigenfrequency that appears in their equations (56) and (58) is unprimed. This is unfortunate as it somewhat muddies our efforts, here, to demonstrate the correspondence between the HRW66 polytropic radial pulsation equation and ours. In our subsequent manipulation of equation (56) from HRW66 we reattach a prime to the quantity, <math>~s</math>, to emphasize that it is a dimensionless frequency. But this prime on <math>~s</math> should not be confused with the prime on <math>~\theta</math> (HRW66 equation 56) or with the prime on <math>~X</math> (HRW66 equation 57), both of which denote differentiation with respect to the radial coordinate.

With these modifications, the HRW66 radial pulsation equation becomes,

<math>~0</math>

<math>~=</math>

<math> ~\frac{d^2 X}{dx^2} + \biggl[\frac{4 - (n+1)V }{x}\biggr]\frac{dX}{dx} - \frac{V}{\gamma x^2}\biggl[\frac{x^2 (s^')^2}{\theta V} + (3\gamma -4)(n+1) \biggr]X </math>

 

<math>~=</math>

<math> ~\frac{d^2 X}{dx^2} + \biggl[\frac{4 - (n+1)V }{x}\biggr]\frac{dX}{dx} + \biggl[-\frac{(s^')^2 }{\gamma \theta } - \biggl(3 -\frac{4}{\gamma}\biggr)\frac{(n+1)V}{x^2} \biggr]X \, . </math>

The correspondence with our derived expression is complete, assuming that,

<math>~(s^')^2</math>

<math>~=</math>

<math>~-\omega^2 \biggl(\frac{a_n^2 \rho_c }{P_c} \biggr) \theta_c</math>

 

<math>~=</math>

<math>~-\omega^2 \biggl[\frac{n+1 }{4\pi G \rho_c} \biggr] \, .</math>

As has been explained in the above "ASIDE," this is exactly the factor that HRW66 use to normalize their eigenfrequency, <math>~s</math>, and make it dimensionless <math>~(s^')</math>. It is clear, as well, that HRW66 have adopted a sign convention for the square of their eigenfrequency that is the opposite of the sign convention that we have adopted for <math>~\omega^2</math>. That is, it is clear that,

<math>~s^2 ~~\leftrightarrow~~ - \omega^2 \, .</math>

Boundary Conditions

As we have pointed out in the context of a general discussion of boundary conditions associated with the adiabatic wave equation, the eigenfunction, <math>~x</math>, will be suitably well behaved at the center of the configuration if,

<math>~\frac{dx}{dr_0} = 0</math>        at         <math>~r_0 = 0 \, ,</math>

which, in the context of our present discussion of polytropic configurations, leads to the inner boundary condition,

<math>~\frac{dx}{d\xi} = 0</math>        at         <math>~\xi = 0 \, .</math>

This is precisely the inner boundary condition specified by HRW66 — see their equation (57), which has been reproduced in the above excerpt from HWR66.


As we have also shown in the context of this separate, general discussion of boundary conditions associated with the adiabatic wave equation, the pressure fluctuation will be finite at the surface — even if the equilibrium pressure and/or the pressure scale height go to zero at the surface — if the radial eigenfunction, <math>~x</math>, obeys the relation,

<math>~r_0 \frac{dx}{dr_0}</math>

<math>~=</math>

<math>~\biggl( 4 - 3\gamma_g + \frac{\omega^2 R^3}{GM_\mathrm{tot}}\biggr) \frac{x}{\gamma_g}</math>        at         <math>~r_0 = R \, .</math>

Or, given that, in polytropic configurations, <math>~r_0 = a_n\xi</math>,

<math>~\xi \frac{dx}{d\xi}</math>

<math>~=</math>

<math>~\frac{x}{\gamma_g} \biggl[ 4 - 3\gamma_g + \frac{\omega^2 (a_n \xi_1)^3}{GM_\mathrm{tot}}\biggr] </math>        at         <math>~\xi = \xi_1 \, ,</math>

where, the subscript "1" denotes equilibrium, surface values. As can be deduced from our above summary of the properties of polytropic configurations,

<math>~GM_\mathrm{tot}</math>

<math>~=</math>

<math>~4\pi G a_n^3 \rho_c (-\xi_1^2 \theta_1^') \, .</math>

Hence, for spherically symmetric polytropic configurations, the surface boundary condition becomes,

<math>~\frac{dx}{d\xi}</math>

<math>~=</math>

<math>~\frac{x}{\gamma_g \xi} \biggl[ 4 - 3\gamma_g + \omega^2 \biggl( \frac{1}{4\pi G \rho_c } \biggr) \frac{\xi}{(-\theta^')}\biggr] </math>         at         <math>~\xi = \xi_1 \, ,</math>

<math>~\Rightarrow ~~~~~(n+1)\frac{dx}{d\xi}</math>

<math>~=</math>

<math>~\frac{x}{\gamma_g \xi} \biggl[ (n+1)(4 - 3\gamma_g) + \omega^2 \biggl( \frac{1+n}{4\pi G \rho_c } \biggr) \frac{\xi}{(-\theta^')}\biggr] </math>

 

<math>~=</math>

<math>~-\frac{x}{\gamma_g \xi} \biggl[ (n+1)(3\gamma_g-4) - \omega^2 \biggl( \frac{1+n}{4\pi G \rho_c } \biggr) \frac{\xi}{(-\theta^')}\biggr] </math>         at         <math>~\xi = \xi_1 \, .</math>

Adopting notation used by HRW66, specifically, as demonstrated above,

<math>~-\omega^2 \biggl( \frac{1+n}{4\pi G \rho_c } \biggr) \rightarrow (s^')^2 \, , </math>

and, from equation (50) of HRW66,

<math>~-\theta^' \rightarrow q </math>         at         <math>~\xi = \xi_1 \, ,</math>

this outer boundary condition becomes,

<math>~(n+1)\frac{dx}{d\xi}</math>

<math>~=</math>

<math>~-\frac{x}{\gamma_g \xi} \biggl[ (n+1)(3\gamma_g-4) + \frac{\xi (s^')^2}{q}\biggr] </math>         at         <math>~\xi = \xi_1 \, .</math>

With the exception of the leading negative sign on the right-hand side, this expression is identical to the outer boundary condition identified by equation (58) of HRW66 — see the excerpt reproduced above.

Overview

The eigenvector associated with radial oscillations in isolated polytropes has been determined numerically and the results have been presented in a variety of key publications:

Tables

Quantitative Information Regarding Eigenvectors of Oscillating Polytropes

<math>~(\Gamma_1 = 5/3)</math>

<math>~n</math>

<math>~\frac{\rho_c}{\bar\rho}</math>

Excerpts from Table 1 of

Hurley, Roberts, & Wright (1966)

<math>~s^2 (n+1)/(4\pi G\rho_c)</math>

Excerpts from Table 3 of

J. P. Cox (1974)

<math>~\sigma_0^2 R^3/(GM)</math>

<math>\frac{(n+1) *\mathrm{Cox74}}{3 *\mathrm{HRW66}} \cdot \frac{\bar\rho}{\rho_c}</math>

<math>~0</math>

<math>~1</math>

<math>~1/3</math>

<math>~1</math>

<math>~1</math>

<math>~1</math>

<math>~3.30</math>

<math>~0.38331</math>

<math>~1.892</math>

<math>~0.997</math>

<math>~1.5</math>

<math>~5.99</math>

<math>~0.37640</math>

<math>~2.712</math>

<math>~1.002</math>

<math>~2</math>

<math>~11.4</math>

<math>~0.35087</math>

<math>~4.00</math>

<math>~1.000</math>

<math>~3</math>

<math>~54.2</math>

<math>~0.22774</math>

<math>~9.261</math>

<math>~1.000</math>

<math>~3.5</math>

<math>~153</math>

<math>~0.12404</math>

<math>~12.69</math>

<math>~1.003</math>

<math>~4.0</math>

<math>~632</math>

<math>~0.04056</math>

<math>~15.38</math>

<math>~1.000</math>

n = 1 Polytrope

Setup

From our derived structure of an n = 1 polytrope, in terms of the configuration's radius <math>R</math> and mass <math>M</math>, the central pressure and density are, respectively,

<math>P_c = \frac{\pi G}{8}\biggl( \frac{M^2}{R^4} \biggr) </math> ,

and

<math>\rho_c = \frac{\pi M}{4 R^3} </math> .

Hence the characteristic time and acceleration are, respectively,

<math> \tau_\mathrm{SSC} = \biggl[ \frac{R^2 \rho_c}{P_c} \biggr]^{1/2} = \biggl[ \frac{2R^3 }{GM} \biggr]^{1/2} = \biggl[ \frac{\pi}{2 G\rho_c} \biggr]^{1/2}, </math>

and,

<math> g_\mathrm{SSC} = \frac{P_c}{R \rho_c} = \biggl( \frac{GM}{2R^2} \biggr) . </math>

The required functions are,

  • Density:

<math>\frac{\rho_0(\chi_0)}{\rho_c} = \frac{\sin(\pi\chi_0)}{\pi\chi_0} </math> ;

  • Pressure:

<math>\frac{P_0(\chi_0)}{P_c} = \biggl[ \frac{\sin(\pi\chi_0)}{\pi\chi_0} \biggr]^2 </math> ;

  • Gravitational acceleration:

<math> \frac{g_0(r_0)}{g_\mathrm{SSC}} = \frac{2}{\chi_0^2} \biggl[ \frac{M_r(\chi_0)}{M}\biggr] = \frac{2}{\pi \chi_0^2} \biggl[ \sin (\pi\chi_0 ) - \pi\chi_0 \cos (\pi\chi_0 ) \biggr]. </math>

So our desired Eigenvalues and Eigenvectors will be solutions to the following ODE:

<math> \frac{d^2x}{d\chi_0^2} + \frac{2}{\chi_0} \biggl[ 1 + \pi\chi_0 \cot (\pi\chi_0 ) \biggr] \frac{dx}{d\chi_0} + \frac{1}{\gamma_\mathrm{g}} \biggl\{ \frac{\pi \chi_0}{\sin(\pi\chi_0)} \biggl[ \frac{\pi \omega^2}{2G\rho_c} \biggr] + \frac{2}{\chi_0^2 } (4 - 3\gamma_\mathrm{g}) \biggl[ 1 - \pi\chi_0 \cot (\pi\chi_0 ) \biggr] \biggr\} x = 0 , </math>


or, replacing <math>\chi_0</math> with <math>\xi \equiv \pi\chi_0</math> and dividing the entire expression by <math>\pi^2</math>, we have,

<math> \frac{d^2x}{d\xi^2} + \frac{2}{\xi} \biggl[ 1 + \xi \cot \xi \biggr] \frac{dx}{d\xi} + \frac{1}{\gamma_\mathrm{g}} \biggl\{ \frac{\xi}{\sin \xi} \biggl[ \frac{\omega^2}{2\pi G\rho_c} \biggr] + \frac{2}{\xi^2 } (4 - 3\gamma_\mathrm{g}) \biggl[ 1 - \xi \cot \xi \biggr] \biggr\} x = 0 . </math>


This is identical to the formulation of the wave equation that is relevant to the (n = 1) core of the composite polytrope studied by J. O. Murphy & R. Fiedler (1985b); for comparison, their expression is displayed, here, in the following boxed-in image.

n = 1 Polytropic Formulation of Wave Equation as Presented by Murphy & Fiedler (1985b)

Murphy & Fiedler (1985b)



Work-in-progress.png

Material that appears after this point in our presentation is under development and therefore
may contain incorrect mathematical equations and/or physical misinterpretations.
|   Go Home   |


Attempt at Deriving an Analytic Eigenvector Solution

Multiplying the last expression through by <math>~\xi^2\sin\xi</math> gives,

<math> (\xi^2\sin\xi ) \frac{d^2x}{d\xi^2} + 2 \biggl[ \xi \sin\xi + \xi^2 \cos \xi \biggr] \frac{dx}{d\xi} + \biggl[ \sigma^2 \xi^3 - 2\alpha ( \sin\xi - \xi \cos \xi ) \biggr] x = 0 \, , </math>


where,

<math>~\sigma^2</math>

<math>~\equiv</math>

<math> ~\frac{\omega^2}{2\pi G\rho_c \gamma_g} \, , </math>

<math>~\alpha</math>

<math>~\equiv</math>

<math> ~3-\frac{4}{\gamma_g} \, . </math>

The first two terms can be folded together to give,

<math>~ \frac{1}{\xi^2 \sin^2\xi} \cdot \frac{d}{d\xi}\biggl[ \xi^2 \sin^2\xi \frac{dx}{d\xi} \biggr] </math>

<math>~=</math>

<math> ~\frac{1}{\xi^2 \sin\xi} \biggl[ 2\alpha ( \sin\xi - \xi \cos \xi ) - \sigma^2 \xi^3 \biggr] x </math>

 

<math>~=</math>

<math> ~- \biggl[ \frac{2\alpha}{\xi^2} \biggl( \frac{\xi \cos \xi}{\sin\xi} -1\biggr) + \sigma^2 \biggl( \frac{\xi}{\sin\xi}\biggr) \biggr] x </math>

 

<math>~=</math>

<math> ~- \biggl[ \frac{2\alpha}{\xi^2} \frac{\xi^2}{\sin\xi} \cdot \frac{d}{d\xi} \biggl( \frac{\sin\xi}{\xi} \biggr) + \sigma^2 \biggl( \frac{\xi}{\sin\xi}\biggr) \biggr] x </math>

 

<math>~=</math>

<math> ~- \biggl[ \frac{2\alpha}{\xi} \frac{d}{d\xi}\biggl( \frac{\sin\xi}{\xi} \biggr) + \sigma^2 \biggr] \biggl( \frac{\xi}{\sin\xi}\biggr) x \, , </math>

where, in order to make this next-to-last step, we have recognized that,

<math>~ \frac{d}{d\xi} \biggl( \frac{\sin\xi}{\xi} \biggr) </math>

<math>~=</math>

<math> ~\frac{\sin\xi}{\xi^2} \biggl[ \frac{\xi \cos\xi}{\sin\xi} - 1 \biggr] \, . </math>

It would seem that the eigenfunction, <math>~x(\xi)</math>, should be expressible in terms of trigonometric functions and powers of <math>~\xi</math>; indeed, it appears as though the expression governing this eigenfunction would simplify considerably if <math>~x \propto \sin\xi/\xi</math>. With this in mind, we have made some attempts to guess the exact form of the eigenfunction. Here is one such attempt.

First Guess

Let's try,

<math>~x = \frac{\sin\xi}{\xi} \, ,</math>

which means,

<math>~x^' \equiv \frac{dx}{d\xi}</math>

<math>~=</math>

<math> ~\frac{\sin\xi}{\xi^2} \biggl[ \frac{\xi \cos\xi}{\sin\xi} - 1 \biggr] \, . </math>

Does this satisfy the governing expression? Let's see. The right-and-side (RHS) gives:

RHS

<math>~=</math>

<math> ~- \biggl[ \frac{2\alpha}{\xi} \frac{d}{d\xi}\biggl( \frac{\sin\xi}{\xi} \biggr) + \sigma^2 \biggr] \biggl( \frac{\xi}{\sin\xi}\biggr) x = - \biggl[ \frac{2\alpha x^'}{\xi} + \sigma^2 \biggr] \, . </math>

At the same time, the left-hand-side (LHS) may, quite generically, be written as:

LHS

<math>~=</math>

<math>~ \frac{x^'}{\xi} \biggl\{ \frac{\xi}{(\xi^2 \sin^2\xi)x^'} \cdot \frac{d[ (\xi^2 \sin^2\xi)x^']}{d\xi} \biggr\} </math>

 

<math>~=</math>

<math>~ \frac{x^'}{\xi} \biggl[\frac{d\ln[ (\xi^2 \sin^2\xi)x^']}{d\ln\xi} \biggr] \, . </math>

Putting the two sides together therefore gives,

<math>~ \frac{x^'}{\xi} \biggl[\frac{d\ln[ (\xi^2 \sin^2\xi)x^']}{d\ln\xi} +2\alpha \biggr] </math>

<math>~=</math>

<math> ~-\sigma^2 </math>

<math>~ \Rightarrow ~~~~~ \biggl[\frac{d\ln[ (\xi^2 \sin^2\xi)x^']^{1/(2\alpha)}}{d\ln\xi} +1 \biggr] </math>

<math>~=</math>

<math> ~- \frac{\sigma^2}{2\alpha } \biggl( \frac{\xi}{x^'} \biggr) </math>

<math>~ \Rightarrow ~~~~~ \frac{d\ln[ (\xi^2 \sin^2\xi)x^']^{-1/(2\alpha)}}{d\ln\xi} </math>

<math>~=</math>

<math> ~1 + \frac{\sigma^2}{2\alpha } \biggl( \frac{\xi}{x^'} \biggr) \, . </math>

[Comment from J. E. Tohline on 6 April 2015: I'm not sure what else to make of this.]


Second Guess

Adopting the generic rewriting of the LHS, and leaving the RHS fully generic as well, we have,

<math>~ \frac{x^'}{\xi} \biggl[\frac{d\ln[ (\xi^2 \sin^2\xi)x^']}{d\ln\xi} \biggr] </math>

<math>~=</math>

<math> ~- \biggl[ \frac{2\alpha}{\xi} \frac{d}{d\xi}\biggl( \frac{\sin\xi}{\xi} \biggr) + \sigma^2 \biggr] \biggl( \frac{\xi}{\sin\xi}\biggr) x </math>

<math>~\Rightarrow ~~~~~ \frac{x^'}{x} \biggl[\frac{d\ln[ (\xi^2 \sin^2\xi)x^']}{d\ln\xi} \biggr] </math>

<math>~=</math>

<math> ~- 2\alpha\biggl( \frac{\xi}{\sin\xi}\biggr) \frac{d}{d\xi}\biggl( \frac{\sin\xi}{\xi} \biggr) ~- \sigma^2\biggl( \frac{\xi^2}{\sin\xi}\biggr) </math>

<math>~\Rightarrow ~~~~~ \frac{d\ln(x)}{d\ln \xi} \biggl[\frac{d\ln[ (\xi^2 \sin^2\xi)x^']}{d\ln\xi} \biggr] </math>

<math>~=</math>

<math> ~- 2\alpha\biggl[ \frac{d\ln(\sin\xi/\xi)}{d\ln \xi} \biggr] ~- \sigma^2\biggl( \frac{\xi^3}{\sin\xi}\biggr) \, . </math>

<math> ~\Rightarrow ~~~~ - \sigma^2 </math>

<math>~=</math>

<math>~ \biggl( \frac{\sin\xi}{\xi^3}\biggr) \biggl\{\frac{d\ln(x)}{d\ln \xi} \biggl[\frac{d\ln[ (\xi^2 \sin^2\xi)x^']}{d\ln\xi} \biggr] + 2\alpha\biggl[ \frac{d\ln(\sin\xi/\xi)}{d\ln \xi} \biggr] \biggr\} \, . </math>

[Comment from J. E. Tohline on 6 April 2015: I'm not sure what else to make of this.]


Third Guess

Let's rewrite the polytropic (n = 1) wave equation as follows:

<math> ~\sin\xi \biggl[ \xi^2 x^{} + 2\xi x^' - 2\alpha x \biggr] + \cos\xi \biggl[ 2\xi^2 x^' + 2\alpha \xi x \biggr] +\sigma^2 \xi^3 x = 0 \, . </math>

It is difficult to determine what term in the adiabatic wave equation will cancel the term involving <math>~\sigma^2</math> because its leading coefficient is <math>~\xi^3</math> and no other term contains a power of <math>~\xi</math> that is higher than two. After thinking through various trial eigenvector expressions, <math>~x(\xi)</math>, I have determined that a function of the following form has a chance of working because the second derivative of the function generates a leading factor of <math>~\xi^3</math> while the function itself does not introduce any additional factors of <math>~\xi</math> into the term that contains <math>~\sigma^2</math>:

<math>~x</math>

<math>~=</math>

<math> ~[a\sin^2(\xi^{5/2}) + b\sin(\xi^{5/2})\cos(\xi^{5/2}) + c\cos^2(\xi^{5/2})] [ A\sin\xi + B\cos\xi] </math>

<math>~\Rightarrow ~~~ x^'</math>

<math>~=</math>

<math> ~[a\sin^2(\xi^{5/2}) + b\sin(\xi^{5/2})\cos(\xi^{5/2}) + c\cos^2(\xi^{5/2})] \cdot \frac{d[ A\sin\xi + B\cos\xi]}{d\xi} </math>

 

 

<math> ~+ \frac{d[a\sin^2(\xi^{5/2}) + b\sin(\xi^{5/2})\cos(\xi^{5/2}) + c\cos^2(\xi^{5/2})]}{d\xi} \cdot [ A\sin\xi + B\cos\xi] </math>

 

<math>~=</math>

<math> ~[a\sin^2(\xi^{5/2}) + b\sin(\xi^{5/2})\cos(\xi^{5/2}) + c\cos^2(\xi^{5/2})] \cdot \frac{d[ A\sin\xi + B\cos\xi]}{d\xi} </math>

 

 

<math> ~+ [ A\sin\xi + B\cos\xi] \biggl\{5a \xi^{3/2} \sin(\xi^{5/2}) \cos(\xi^{5/2}) + b\biggl[ \frac{5}{2} \xi^{3/2}\cos^2(\xi^{5/2}) - \frac{5}{2} \xi^{3/2}\sin^2(\xi^{5/2}) \biggr] - 5c \xi^{3/2} \sin(\xi^{5/2}) \cos(\xi^{5/2}) \biggr\} </math>

 

<math>~=</math>

<math> ~[a\sin^2(\xi^{5/2}) + b\sin(\xi^{5/2})\cos(\xi^{5/2}) + c\cos^2(\xi^{5/2})] \cdot \frac{d[ A\sin\xi + B\cos\xi]}{d\xi} </math>

 

 

<math> ~+ [ A\sin\xi + B\cos\xi] \biggl\{5(a-c) \xi^{3/2} \sin(\xi^{5/2}) \cos(\xi^{5/2}) + \frac{5b}{2} \xi^{3/2}\biggl[ 1 - 2\sin^2(\xi^{5/2}) \biggr] \biggr\} </math>

<math>~\Rightarrow ~~~ x^{}</math>

<math>~=</math>

<math> ~[a\sin^2(\xi^{5/2}) + b\sin(\xi^{5/2})\cos(\xi^{5/2}) + c\cos^2(\xi^{5/2})] \cdot \frac{d^2[ A\sin\xi + B\cos\xi]}{d^2\xi} </math>

 

 

<math>~+ \biggl\{5(a-c) \xi^{3/2} \sin(\xi^{5/2}) \cos(\xi^{5/2}) + \frac{5b}{2} \xi^{3/2}\biggl[ 1 - 2\sin^2(\xi^{5/2}) \biggr] \biggr\} \cdot \frac{d[ A\sin\xi + B\cos\xi]}{d\xi} </math>

 

 

<math> ~+ [ A\sin\xi + B\cos\xi] \biggl\{ \frac{15}{2}(a-c) \xi^{1/2} \sin(\xi^{5/2}) \cos(\xi^{5/2}) +\frac{25}{2}(a-c) \xi^{3} \cos^2(\xi^{5/2}) - \frac{25}{2}(a-c) \xi^{3} \sin^2(\xi^{5/2}) </math>

 

 

<math> + \frac{15b}{4} \xi^{1/2}\biggl[ 1 - 2\sin^2(\xi^{5/2}) \biggr] - 25b \xi^{3}\sin(\xi^{5/2}) \cos(\xi^{5/2}) \biggr\} </math>

 

<math>~=</math>

<math> ~[a\sin^2(\xi^{5/2}) + b\sin(\xi^{5/2})\cos(\xi^{5/2}) + c\cos^2(\xi^{5/2})] \cdot \frac{d^2[ A\sin\xi + B\cos\xi]}{d^2\xi} </math>

 

 

<math>~+ \biggl\{5(a-c) \xi^{3/2} \sin(\xi^{5/2}) \cos(\xi^{5/2}) + \frac{5b}{2} \xi^{3/2}\biggl[ 1 - 2\sin^2(\xi^{5/2}) \biggr] \biggr\} \cdot \frac{d[ A\sin\xi + B\cos\xi]}{d\xi} </math>

 

 

<math> ~+ [ A\sin\xi + B\cos\xi] \biggl\{ \frac{15}{4}\xi^{1/2} \biggl[ 2(a-c) \sin(\xi^{5/2}) \cos(\xi^{5/2}) + b\biggl( 1 - 2\sin^2(\xi^{5/2}) \biggr) \biggr] </math>

 

 

<math>~+ \frac{25}{2} \xi^3 \biggl[ - 2b \sin(\xi^{5/2}) \cos(\xi^{5/2}) +(a-c) \biggl( 1- 2\sin^2(\xi^{5/2}) \biggr) \biggr] \biggr\} </math>

[Comment from J. E. Tohline on 9 April 2015: I'm not sure what else to make of this.]

[Additional comment from J. E. Tohline on 15 April 2015: It is perhaps worth mentioning that there is a similarity between the argument of the trigonometric function being used in this "third guess" and the Lane-Emden function derived by Srivastava for <math>~n=5</math> polytropes; and also a similarity between Srivastava's function and the functional form of the LHS that we constructed, above, in connection with our "second guess."]

Fourth Guess

Again, working with the polytropic (n = 1) wave equation written in the following form,

<math> ~\sin\xi \biggl[ \xi^2 x^{} + 2\xi x^' - 2\alpha x \biggr] + \cos\xi \biggl[ 2\xi^2 x^' + 2\alpha \xi x \biggr] +\sigma^2 \xi^3 x = 0 \, . </math>

Now, let's try:

<math>~x = a_0 + b_1 \xi \sin\xi + c_2 \xi^2 \cos\xi \, ,</math>

which means,

<math>~x^' </math>

<math>~=</math>

<math> ~b_1 \sin\xi + b_1 \xi \cos\xi + 2c_2 \xi \cos\xi - c_2\xi^2 \sin\xi </math>

 

<math>~=</math>

<math> ~(b_1 - c_2\xi^2 ) \sin\xi + (b_1 + 2c_2)\xi \cos\xi \, , </math>

<math>~x^{} </math>

<math>~=</math>

<math> ~(- 2c_2\xi ) \sin\xi + (b_1 - c_2\xi^2 ) \cos\xi + (b_1 + 2c_2 )\cos\xi - (b_1 + 2c_2 )\xi \sin\xi </math>

 

<math>~=</math>

<math> ~-(2c_2+b_1 + 2c_2 ) \xi \sin\xi + (2b_1 + 2c_2 - c_2\xi^2 ) \cos\xi \, . </math>

The LHS of the wave equation then becomes,

LHS

<math>~=</math>

<math> ~\sin\xi \biggl\{ \xi^2 \biggl[ -(2c_2+b_1 + 2c_2 ) \xi \sin\xi + (2b_1 + 2c_2 - c_2\xi^2 ) \cos\xi \biggr] + 2\xi \biggl[ (b_1 - c_2\xi^2 ) \sin\xi + (b_1 + 2c_2)\xi \cos\xi \biggr] - 2\alpha \biggl[ a_0 + (b_1 \xi) \sin\xi + (c_2 \xi^2) \cos\xi \biggr] \biggr\} </math>

 

 

<math> + \cos\xi \biggl\{ 2\xi^2 \biggl[ (b_1 - c_2\xi^2 ) \sin\xi + (b_1 + 2c_2)\xi \cos\xi \biggr] + 2\alpha \xi \biggl[ a_0 + (b_1 \xi) \sin\xi + (c_2 \xi^2) \cos\xi \biggr] \biggr\} +\sigma^2 \xi^3 \biggl[ a_0 + b_1 \xi \sin\xi + c_2 \xi^2 \cos\xi \biggr] </math>

 

<math>~=</math>

<math> ~\sin\xi \biggl\{ \biggl[ -(2c_2+b_1 + 2c_2 ) \xi^3 \sin\xi + (2b_1 + 2c_2 - c_2\xi^2 ) \xi^2\cos\xi \biggr] + \biggl[ 2(b_1 - c_2\xi^2 )\xi \sin\xi + 2(b_1 + 2c_2)\xi^2 \cos\xi \biggr] - 2\alpha \biggl[ a_0 + (b_1 \xi) \sin\xi + (c_2 \xi^2) \cos\xi \biggr] \biggr\} </math>

 

 

<math> + \cos\xi \biggl\{ \biggl[ 2(b_1 - c_2\xi^2 )\xi^2 \sin\xi + 2(b_1 + 2c_2)\xi^3 \cos\xi \biggr] + \biggl[ 2a_0\alpha \xi + 2b_1\alpha \xi^2 \sin\xi + 2c_2 \alpha \xi^3 \cos\xi \biggr] \biggr\} +\sigma^2 \biggl[ a_0\xi^3 + b_1 \xi^4 \sin\xi + c_2 \xi^5 \cos\xi \biggr] </math>

 

<math>~=</math>

<math> ~\sin\xi \biggl\{- 2\alpha a_0 + \biggl[ -(2c_2+b_1 + 2c_2 ) \xi^3 + 2(b_1 - c_2\xi^2 )\xi - 2\alpha (b_1 \xi) \biggr]\sin\xi + \biggl[ (2b_1 + 2c_2 - c_2\xi^2 ) \xi^2 + 2(b_1 + 2c_2)\xi^2 - 2\alpha (c_2 \xi^2) \biggr] \cos\xi \biggr\} </math>

 

 

<math> + \cos\xi \biggl\{ + 2a_0\alpha \xi + \biggl[ 2(b_1 - c_2\xi^2 )\xi^2 + 2b_1\alpha \xi^2 \biggr] \sin\xi + \biggl[ 2(b_1 + 2c_2)\xi^3 + 2c_2 \alpha \xi^3\biggr] \cos\xi \biggr\} +\sigma^2 \biggl[ a_0\xi^3 + b_1 \xi^4 \sin\xi + c_2 \xi^5 \cos\xi \biggr] </math>

 

<math>~=</math>

<math> ~\sigma^2 a_0 \xi^3 + \biggl[ -(2c_2+b_1 + 2c_2 ) \xi^3 + 2(b_1 - c_2\xi^2 )\xi - 2\alpha (b_1 \xi) \biggr]\sin^2\xi + \biggl[ 2(b_1 + 2c_2)\xi^3 + 2c_2 \alpha \xi^3\biggr] \biggl(1-\sin^2\xi \biggr) </math>

 

 

<math> + \biggl[ (2b_1 + 2c_2 - c_2\xi^2 ) \xi^2 + 2(b_1 + 2c_2)\xi^2 - 2\alpha (c_2 \xi^2) \biggr] \sin\xi \cos\xi + \biggl[ 2(b_1 - c_2\xi^2 )\xi^2 + 2b_1\alpha \xi^2 \biggr] \sin\xi \cos\xi </math>

 

 

<math> +\sigma^2 \biggl[ b_1 \xi^4 \sin\xi + c_2 \xi^5 \cos\xi \biggr] + 2a_0\alpha \xi\cos\xi - 2\alpha a_0 \sin\xi </math>

 

<math>~=</math>

<math> ~\biggl[ \sigma^2 a_0 + 2(b_1 + 2c_2) + 2c_2 \alpha \biggr]\xi^3 + \biggl\{+ 2(b_1 )\xi - 2\alpha (b_1 \xi) +[-2c_2 - 2(b_1 + 2c_2) - 2c_2 \alpha -(2c_2+b_1 + 2c_2 )] \xi^3 \biggr\} \sin^2\xi </math>

 

 

<math> + \biggl\{ [ (2b_1 + 2c_2 ) + 2(b_1 + 2c_2) - 2\alpha (c_2 ) + 2(b_1 ) + 2b_1\alpha ] \xi^2 -3c_2\xi^4 \biggr\} \sin\xi \cos\xi </math>

 

 

<math>~+ \sin\xi \biggl[\sigma^2b_1 \xi^4 - 2\alpha a_0 \biggr] + \xi \cos\xi \biggl[\sigma^2 c_2 \xi^4 + 2a_0\alpha \biggr] </math>

 

<math>~=</math>

<math> ~[ \sigma^2 a_0 + 2(b_1 + 2c_2) + 2c_2 \alpha ]\xi^3 + \biggl\{2 b_1(1-\alpha) - [2c_2(5+\alpha) + 3b_1] \xi^2 \biggr\} \xi \sin^2\xi </math>

 

 

<math> + \biggl\{ 2(3-\alpha)( b_1+c_2 ) -3c_2\xi^2 \biggr\} \xi^2 \sin\xi \cos\xi +\sin\xi \biggl[\sigma^2b_1 \xi^4 - 2\alpha a_0 \biggr] + \xi \cos\xi \biggl[\sigma^2 c_2 \xi^4 + 2a_0\alpha \biggr] \, . </math>

Fifth Guess

Along a similar line of reasoning, let's try a function of the form,

<math>~x</math>

<math>~=</math>

<math> ~x_s \sin\xi + x_c \cos\xi + x_1 \sin^2\xi + x_2 \cos^2\xi + x_3 \sin\xi \cos\xi\, , </math>

where <math>~x_s, x_c, x_1, x_2,</math> and <math>~x_3</math> are five separate, as yet, unspecified (polynomial?) functions of <math>~\xi</math>. This also means that,

<math>~x^'</math>

<math>~=</math>

<math> ~(x_s^' - x_c)\sin\xi + (x_c^' + x_s)\cos\xi + (x_1^' - x_3)\sin^2\xi + (x_2^' + x_3)\cos^2\xi + (x_3^' + 2x_1 -2x_2)\sin\xi \cos\xi \, ; </math>

and,

<math>~x^{}</math>

<math>~=</math>

<math> ~(x_s^{} - 2x_c^{'} - x_s)\sin\xi + (x_c^{} + 2x_s^' -x_c)\cos\xi + (x_1^{} -2x_3^' -2x_1 + 2x_2)\sin^2\xi + (x_2^{} + 2x_3^'+ 2x_1 - 2x_2)\cos^2\xi + (x_3^{} + 4x_1^' -4x_2^' - 4x_3)\sin\xi \cos\xi \, . </math>

Hence the LHS of the polytropic (n = 1) wave equation becomes,

LHS

<math>~=</math>

<math> ~~\sin\xi \biggl\{ \xi^2 \biggl[~(x_s^{} - 2x_c^{'} - x_s)\sin\xi + (x_c^{} + 2x_s^' -x_c)\cos\xi + (x_1^{} -2x_3^' -2x_1 + 2x_2)\sin^2\xi + (x_2^{} + 2x_3^'+ 2x_1 - 2x_2)\cos^2\xi + (x_3^{} + 4x_1^' -4x_2^' - 4x_3)\sin\xi \cos\xi \biggr] </math>

 

 

<math> + 2\xi \biggl[~(x_s^' - x_c)\sin\xi + (x_c^' + x_s)\cos\xi + (x_1^' - x_3)\sin^2\xi + (x_2^' + x_3)\cos^2\xi + (x_3^' + 2x_1 -2x_2)\sin\xi \cos\xi \biggr] </math>

 

 

<math> - 2\alpha \biggl[ x_s \sin\xi + x_c \cos\xi + x_1 \sin^2\xi + x_2 \cos^2\xi + x_3 \sin\xi \cos\xi\biggr] \biggr\} </math>

 

 

<math> + \cos\xi \biggl\{ 2\xi^2 \biggl[~(x_s^' - x_c)\sin\xi + (x_c^' + x_s)\cos\xi + (x_1^' - x_3)\sin^2\xi + (x_2^' + x_3)\cos^2\xi + (x_3^' + 2x_1 -2x_2)\sin\xi \cos\xi \biggr] </math>

 

 

<math> + 2\alpha \xi \biggl[ x_s \sin\xi + x_c \cos\xi + x_1 \sin^2\xi + x_2 \cos^2\xi + x_3 \sin\xi \cos\xi\biggr] \biggr\} </math>

 

 

<math> +\sigma^2 \xi^3 \biggl\{ x_s \sin\xi + x_c \cos\xi + x_1 \sin^2\xi + x_2 \cos^2\xi + x_3 \sin\xi \cos\xi \biggr\} </math>

 

<math>~=</math>

<math> ~\biggl[(x_s^{} - 2x_c^{'} - x_s)\xi^2 + 2\xi (x_s^' - x_c) -2\alpha x_s + \sigma^2 \xi^3 x_1 \biggr]\sin^2\xi + \biggl[(x_c^{} + 2x_s^' -x_c)\xi^2 + 2\xi (x_c^' + x_s) - 2\alpha x_c + 2\xi^2 (x_s^' - x_c) + 2\alpha \xi x_s + \sigma^2 \xi^3 x_3 \biggr] \sin\xi \cos\xi </math>

 

 

<math> +\biggl[ (x_1^{} -2x_3^' -2x_1 + 2x_2)\xi^2 + 2\xi (x_1^' - x_3) - 2\alpha x_1 \biggr] \sin^3\xi + \biggl[(x_2^{} + 2x_3^'+ 2x_1 - 2x_2)\xi^2 + 2\xi (x_2^' + x_3) - 2\alpha x_2 + 2\xi^2 (x_3^' + 2x_1 -2x_2)+ 2\alpha \xi x_3 \biggr]\sin\xi \cos^2\xi </math>

 

 

<math> + \biggl[(x_3^{} + 4x_1^' -4x_2^' - 4x_3)\xi^2 + 2\xi (x_3^' + 2x_1 -2x_2) - 2\alpha x_3 + 2\xi^2 (x_1^' - x_3) + 2\alpha \xi x_1 \biggr] \sin^2\xi \cos\xi </math>

 

 

<math> + \biggl[2\xi^2 (x_c^' + x_s ) + 2\alpha \xi x_c + \sigma^2 \xi^3 x_2 \biggr]\cos^2\xi + \biggl[2\xi^2 (x_2^' + x_3)+ 2\alpha \xi x_2 \biggr]\cos^3\xi + \sigma^2 \xi^3 x_s \sin\xi + \sigma^2 \xi^3 x_c \cos\xi </math>

 

<math>~=</math>

<math> ~\biggl[(x_s^{} - 2x_c^{'} - x_s)\xi^2 + 2\xi (x_s^' - x_c) -2\alpha x_s + \sigma^2 \xi^3 x_1 \biggr]\sin^2\xi + \biggl[(x_c^{} + 2x_s^' -x_c)\xi^2 + 2\xi (x_c^' + x_s) - 2\alpha x_c + 2\xi^2 (x_s^' - x_c) + 2\alpha \xi x_s + \sigma^2 \xi^3 x_3 \biggr] \sin\xi \cos\xi </math>

 

 

<math> +\biggl[ (x_1^{} -2x_3^' -2x_1 + 2x_2)\xi^2 + 2\xi (x_1^' - x_3) - 2\alpha x_1 + \sigma^2 \xi^3 x_s \biggr] \sin\xi </math>

 

 

<math> + \biggl[(x_2^{} + 2x_3^'+ 2x_1 - 2x_2)\xi^2 + 2\xi (x_2^' + x_3) - 2\alpha x_2 + 2\xi^2 (x_3^' + 2x_1 -2x_2)+ 2\alpha \xi x_3 - (x_1^{} -2x_3^' -2x_1 + 2x_2)\xi^2 - 2\xi (x_1^' - x_3) + 2\alpha x_1 \biggr]\sin\xi \cos^2\xi </math>

 

 

<math> + \biggl[(x_3^{} + 4x_1^' -4x_2^' - 4x_3)\xi^2 + 2\xi (x_3^' + 2x_1 -2x_2) - 2\alpha x_3 + 2\xi^2 (x_1^' - x_3) + 2\alpha \xi x_1 -2\xi^2 (x_2^' + x_3) - 2\alpha \xi x_2 \biggr] \sin^2\xi \cos\xi </math>

 

 

<math> + \biggl[2\xi^2 (x_c^' + x_s ) + 2\alpha \xi x_c + \sigma^2 \xi^3 x_2 \biggr]\cos^2\xi + \biggl[2\xi^2 (x_2^' + x_3)+ 2\alpha \xi x_2 + \sigma^2 \xi^3 x_c \biggr]\cos\xi </math>

So, the five chosen (polynomial?) functions of <math>~\xi</math> must simultabeously satisfy the following, seven 2nd-order ODEs:

<math>~\sin\xi </math>

      :      

<math>~(x_1^{} -2x_3^' -2x_1 + 2x_2)\xi^2 + 2\xi (x_1^' - x_3) - 2\alpha x_1 + \sigma^2 \xi^3 x_s =0</math>

<math>~\sin^2 \xi</math>

      :      

<math>~(x_s^{} - 2x_c^{'} - x_s)\xi^2 + 2\xi (x_s^' - x_c) -2\alpha x_s + \sigma^2 \xi^3 x_1 =0</math>

<math>~\sin^2\xi \cos\xi</math>

      :      

<math>~(x_3^{} + 4x_1^' -4x_2^' - 4x_3)\xi^2 + 2\xi (x_3^' + 2x_1 -2x_2) - 2\alpha x_3 + 2\xi^2 (x_1^' - x_3) + 2\alpha \xi x_1 -2\xi^2 (x_2^' + x_3) - 2\alpha \xi x_2 =0</math>

<math>~\sin\xi \cos\xi</math>

      :      

<math>~(x_c^{} + 2x_s^' -x_c)\xi^2 + 2\xi (x_c^' + x_s) - 2\alpha x_c + 2\xi^2 (x_s^' - x_c) + 2\alpha \xi x_s + \sigma^2 \xi^3 x_3 =0</math>

<math>~\sin\xi \cos^2\xi</math>

      :      

<math>~(x_2^{} + 2x_3^'+ 2x_1 - 2x_2)\xi^2 + 2\xi (x_2^' + x_3) - 2\alpha x_2 + 2\xi^2 (x_3^' + 2x_1 -2x_2)+ 2\alpha \xi x_3 - (x_1^{} -2x_3^' -2x_1 + 2x_2)\xi^2 - 2\xi (x_1^' - x_3) + 2\alpha x_1 =0</math>

<math>~\cos^2\xi</math>

      :      

<math>~2\xi^2 (x_c^' + x_s ) + 2\alpha \xi x_c + \sigma^2 \xi^3 x_2 =0</math>

<math>~\cos\xi</math>

      :      

<math>~2\xi^2 (x_2^' + x_3)+ 2\alpha \xi x_2 + \sigma^2 \xi^3 x_c =0</math>

Example 1

Let's work on the coefficient of the <math>~\cos\xi</math> term:

<math>~x_c</math>

<math>~=</math>

<math>~\xi^\beta (A_c)</math>

<math>~x_2</math>

<math>~=</math>

<math>~\xi^\beta (C_2 \xi^2)</math>

<math>~x_3</math>

<math>~=</math>

<math>~\xi^\beta (B_3 \xi)</math>

<math>~\Rightarrow~</math>       Coefficient of "<math>~\cos\xi</math>" term

<math>~=</math>

<math>~\xi^\beta [2\xi^2 (2C_2\xi + (B_3 \xi))+ 2\alpha \xi (C_2 \xi^2) + \sigma^2 \xi^3 (A_c)]</math>

 

<math>~=</math>

<math>~\xi^{\beta+3} [2(2C_2 + B_3 )+ 2\alpha C_2 + \sigma^2 (A_c)]</math>

<math>~\Rightarrow ~~~~ \sigma^2</math>

<math>~=</math>

<math>~- \frac{2}{A_c} \biggl[B_3 + (2+\alpha) C_2 \biggr]</math>


Sixth Guess

Rationale

From our review of the properties of <math>~n=1</math> polytropic spheres, we know that the equilibrium density distribution is given by the sinc function, namely,

<math>~\frac{\rho}{\rho_c}</math>

<math>~=</math>

<math>~\frac{\sin\xi}{\xi} \, ,</math>

where,

<math>~\xi \equiv \pi \biggl(\frac{r_0}{R_0} \biggr) \, .</math>

The total mass is,

<math>~M_\mathrm{tot} = \frac{4}{\pi} \cdot \rho_c R_0^3 \, ,</math>

and the fractional mass enclosed within a given radius, <math>~r</math>, is,

<math>~\frac{M_r(\xi)}{M_\mathrm{tot}}</math>

<math>~=</math>

<math>~\frac{1}{\pi} [\sin\xi - \xi \cos\xi] \, .</math>

Let's guess that, during the fundamental mode of radial oscillation, the sinc-function profile is preserved as the system's total radius varies. In particular, we will assume that the system's time-varying radius is,

<math>R = R_0 \biggl( 1 + \frac{\delta R}{R_0} \biggr) = R_0 ( 1 + \epsilon_R) \, ,</math>

and seek to determine how the displacement vector, <math>~\epsilon \equiv \delta r/r_0</math>, varies with <math>~r_0</math> in order to preserve the overall sinc-function profile. As is usual, we will only examine small perturbations away from equilibrium, that is, we will assume that everywhere throughout the configuration, <math>~|\epsilon| \ll 1 </math>.


Let's begin by defining a new dimensionless coordinate,

<math>~\eta \equiv \pi \biggl(\frac{r}{R} \biggr) = \pi \biggl[\frac{r_0(1+\epsilon)}{R_0(1+\epsilon_R)} \biggr] \approx \xi (1 + \epsilon) \, ,</math>

and recognize that, in the new perturbed state, the fractional mass enclosed within a given radius, <math>~r</math>, is,

<math>~\frac{M_r(\eta)}{M_\mathrm{tot}}</math>

<math>~=</math>

<math>~\frac{1}{\pi} [\sin\eta - \eta \cos\eta] \, .</math>

In order to associate each mass shell in the perturbed configuration with its corresponding mass shell in the unperturbed, equilibrium state, we need to set the two <math>~M_r</math> functions equal to one another, that is, demand that,

<math>~\sin\xi - \xi \cos\xi</math>

<math>~=</math>

<math>~\sin\eta - \eta \cos\eta</math>

 

<math>~\approx</math>

<math>~\sin[\xi(1+\epsilon)] - \xi(1+\epsilon) \cos[\xi(1+\epsilon)]</math>

 

<math>~=</math>

<math>~\biggl[ \sin\xi \cos(\xi\epsilon) + \cos\xi \sin (\xi\epsilon) \biggr] - \xi(1+\epsilon) \biggl[ \cos\xi \cos(\xi\epsilon) - \sin\xi \sin (\xi\epsilon) \biggr]</math>

 

<math>~\approx</math>

<math>~\sin\xi \biggl[1 - \frac{1}{2}(\xi\epsilon)^2 \biggr] + (\xi\epsilon)\cos\xi - \xi(1+\epsilon) \cos\xi \biggl[1 - \frac{1}{2}(\xi\epsilon)^2 \biggr] + \xi^2 \epsilon(1+\epsilon) \sin\xi </math>

 

<math>~\approx</math>

<math> ~\sin\xi -\xi\cos\xi - \frac{1}{2}(\xi\epsilon)^2 \sin\xi + (\xi\epsilon)\cos\xi - (\xi \epsilon) \cos\xi + \frac{1}{2} \xi^3 \epsilon^2\cos\xi + \xi^2 \epsilon \sin\xi + (\xi \epsilon)^2\sin\xi </math>

<math>~\Rightarrow~~~~- \xi^2 \epsilon \sin\xi </math>

<math>~\approx</math>

<math>~ \frac{(\xi \epsilon)^2}{2} \biggl[\xi \cos\xi+ \sin\xi \biggr] </math>

<math>~\Rightarrow~~~~\frac{1}{\epsilon}</math>

<math>~\approx</math>

<math>~- \frac{1}{2} \biggl[\xi \cdot \frac{\cos\xi}{\sin\xi} + 1 \biggr] </math>

<math>~\Rightarrow~~~~\epsilon</math>

<math>~\approx</math>

<math>~- 2\biggl[1 + \xi \cdot \frac{\cos\xi}{\sin\xi} \biggr]^{-1} = - 2\sin\xi \biggl[\sin\xi + \xi \cos\xi \biggr]^{-1} \, . </math>

Resulting Polytropic Wave Equation

So, let's try,

<math>~x</math>

<math>~=</math>

<math>~ 2\sin\xi \biggl[\sin\xi + \xi \cos\xi \biggr]^{-1} </math>

 

<math>~=</math>

<math>~ \biggl[\sin\xi + \xi \cos\xi \biggr]^{-3} 2\sin\xi \biggl[\sin^2\xi + 2\xi \sin\xi \cos\xi + \xi^2 \cos^2\xi \biggr] \, , </math>

in which case,

<math>~x^'</math>

<math>~=</math>

<math>~ 2\cos\xi \biggl[\sin\xi + \xi \cos\xi \biggr]^{-1} -2\sin\xi \biggl[\sin\xi + \xi \cos\xi \biggr]^{-2}\biggl[2\cos\xi - \xi \sin\xi \biggr] </math>

 

<math>~=</math>

<math>~\biggl[\sin\xi + \xi \cos\xi \biggr]^{-2}\biggl\{ 2\cos\xi \biggl[\sin\xi + \xi \cos\xi \biggr] -2\sin\xi \biggl[2\cos\xi - \xi \sin\xi \biggr] \biggr\} </math>

 

<math>~=</math>

<math>~\biggl[\sin\xi + \xi \cos\xi \biggr]^{-2}\biggl[ 2\cos\xi \sin\xi + 2\xi \cos^2\xi -4\sin\xi \cos\xi + 2\xi \sin^2\xi \biggr] </math>

 

<math>~=</math>

<math>~ 2\biggl[\sin\xi + \xi \cos\xi \biggr]^{-2}\biggl[\xi-\sin\xi \cos\xi \biggr] </math>

 

<math>~=</math>

<math>~ \biggl[\sin\xi + \xi \cos\xi \biggr]^{-3} 2 \biggl[\xi \sin\xi + \xi^2 \cos\xi -\sin^2\xi \cos\xi - \xi \sin\xi \cos^2\xi \biggr] \, , </math>

and,

<math>~x^{}</math>

<math>~=</math>

<math>~2 \biggl[\sin\xi + \xi \cos\xi \biggr]^{-2}\biggl[1-\cos^2\xi + \sin^2\xi \biggr] - 4\biggl[\sin\xi + \xi \cos\xi \biggr]^{-3}\biggl[\xi-\sin\xi \cos\xi \biggr]\biggl[2\cos\xi - \xi\sin\xi \biggr] </math>

 

<math>~=</math>

<math>~4 \biggl[\sin\xi + \xi \cos\xi \biggr]^{-3}\biggl\{ \sin^2\xi \biggl[\sin\xi + \xi \cos\xi \biggr] - \biggl[\xi-\sin\xi \cos\xi \biggr]\biggl[2\cos\xi - \xi\sin\xi \biggr] \biggr\} </math>

 

<math>~=</math>

<math>~4 \biggl[\sin\xi + \xi \cos\xi \biggr]^{-3}\biggl[ \sin^3\xi + \xi \sin\xi \cos\xi + \xi^2 \sin\xi -2\xi \cos\xi - \xi\sin^2\xi \cos\xi + 2\sin\xi \cos^2\xi \biggr] </math>

Graphical Reassessment

TrialN1Eigenfunction.png

Before plowing ahead and plugging these expressions into the polytropic wave equation, I plotted the trial eigenfunction, <math>~\epsilon(\xi/\pi)</math> (see the blue curve in the accompanying "Trial Eigenfunction" figure), and noticed that it passes through <math>~\pm \infty</math> midway through the configuration. This is a very unphysical behavior. On the other hand, the inverse of this function (see the red curve) exhibits a relatively desirable behavior because it increases monotonically from negative one at the center. As plotted, however, the function has one node. In searching for the eigenfunction of the fundamental mode of oscillation, it might be better to add "1" to the inverse of the function and thereby get rid of all nodes. (Keep in mind, however, that the red curve might be displaying the eigenfunction associated with the first overtone.)

Let's therefore try,

<math>~x = 1 + \frac{1}{\epsilon} = 1 - \frac{1}{2} \biggl[\xi \cdot \frac{\cos\xi}{\sin\xi} + 1 \biggr] = \frac{1}{2} \biggl[1- \xi \cdot \frac{\cos\xi}{\sin\xi} \biggr] \, .</math>

In this case we have,

<math>~x^'</math>

<math>~=</math>

<math>~ \frac{1}{2}\biggl[\xi - \frac{\cos\xi}{\sin\xi} + \xi \cdot \frac{\cos^2\xi}{\sin^2\xi} \biggr] </math>

 

<math>~=</math>

<math>~ \frac{1}{2\sin^2\xi}\biggl[\xi \sin^2\xi - \sin\xi \cos\xi + \xi \cos^2\xi \biggr] \, , </math>

 

<math>~=</math>

<math>~ \frac{1}{2\sin^2\xi}\biggl[\xi - \sin\xi \cos\xi \biggr] \, , </math>

and,

<math>~x^{}</math>

<math>~=</math>

<math>~ - \frac{\cos\xi}{\sin^3\xi}\biggl[\xi - \sin\xi \cos\xi \biggr] + \frac{1}{2\sin^2\xi}\biggl[1 - \cos^2\xi + \sin^2\xi \biggr] </math>

 

<math>~=</math>

<math>~ 1 - \frac{\cos\xi}{\sin^3\xi}\biggl[\xi - \sin\xi \cos\xi \biggr] \, . </math>

Now let's plug these expressions into the polytropic (n = 1) wave equation, namely,

<math>~-\sigma^2 \xi^3 x</math>

<math>~=</math>

<math>~ \sin\xi \biggl[ \xi^2 x^{} + 2\xi x^' - 2\alpha x \biggr] + \cos\xi \biggl[ 2\xi^2 x^' + 2\alpha \xi x \biggr] \, . </math>

The first term inside the square brackets on the right-hand-side gives,

<math>~\xi^2 x^{} + 2\xi x^' - 2\alpha x </math>

<math>~=</math>

<math>~ \xi^2 - \frac{\cos\xi}{\sin^3\xi}\biggl(\xi^3 - \xi^2\sin\xi \cos\xi \biggr) + \frac{1}{\sin^2\xi}\biggl(\xi^2 - \xi \sin\xi \cos\xi \biggr) - \alpha \biggl(1- \xi \cdot \frac{\cos\xi}{\sin\xi} \biggr) </math>

 

<math>~=</math>

<math>~ \frac{1}{\sin^3\xi} \biggl[ \xi^2 \sin^3\xi - \cos\xi (\xi^3 - \xi^2\sin\xi \cos\xi ) + \sin\xi (\xi^2 - \xi \sin\xi \cos\xi ) - \alpha (\sin^3\xi - \xi \cos\xi \sin^2\xi ) \biggr] </math>

 

<math>~=</math>

<math>~ \frac{1}{\sin^3\xi} \biggl[ \xi^2 \sin\xi (1-\cos^2\xi) + \xi^2\sin\xi \cos^2\xi - \xi^3 \cos\xi + \xi^2\sin\xi - \xi \sin^2\xi \cos\xi - \alpha \sin^3\xi + \alpha \xi \cos\xi \sin^2\xi \biggr] </math>

 

<math>~=</math>

<math>~ - \alpha + \frac{1}{\sin^3\xi} \biggl[ 2\xi^2 \sin\xi - \xi^3 \cos\xi - \xi \sin^2\xi \cos\xi + \alpha \xi \cos\xi \sin^2\xi \biggr] \, ; </math>

and the second term inside the square brackets on the right-hand-side gives,

<math>~2\xi^2 x^' + 2\alpha \xi x </math>

<math>~=</math>

<math>~ \frac{1}{\sin^2\xi}\biggl(\xi^3 - \xi^2 \sin\xi \cos\xi \biggr) +\frac{\alpha}{\sin\xi} \biggl(\xi \sin\xi - \xi^2 \cos\xi \biggr) \, . </math>

Put together, then, we have,

RHS

<math>~=</math>

<math>\frac{1}{\sin^2\xi} \biggl[ 2\xi^2 \sin\xi - \xi^3 \cos\xi - \xi \sin^2\xi \cos\xi + \alpha \xi \cos\xi \sin^2\xi \biggr] + \frac{\cos\xi}{\sin^2\xi}\biggl(\xi^3 - \xi^2 \sin\xi \cos\xi \biggr) -\alpha\sin\xi + \alpha \cdot \frac{\cos\xi}{\sin\xi} \biggl(\xi \sin\xi - \xi^2 \cos\xi \biggr) </math>

 

<math>~=</math>

<math>\frac{1}{\sin^2\xi} \biggl[ 2\xi^2 \sin\xi - \xi^3 \cos\xi - \xi \sin^2\xi \cos\xi + \alpha \xi \cos\xi \sin^2\xi + \xi^3\cos\xi - \xi^2 \sin\xi \cos^2\xi \biggr] + \frac{\alpha}{\sin\xi} \biggl[ -\sin^2\xi + \xi \sin\xi \cos\xi - \xi^2 \cos^2\xi \biggr] </math>

 

<math>~=</math>

<math>\frac{\xi}{\sin\xi} \biggl[ 2\xi - \sin\xi \cos\xi - \xi \cos^2\xi \biggr] - \frac{\alpha}{\sin\xi} \biggl[ \sin^2\xi+\xi^2 \cos^2\xi \biggr] </math>

 

<math>~=</math>

<math> \frac{\xi^2}{\sin\xi} \biggl[ 1+\sin^2\xi - \biggl(\frac{\sin\xi}{\xi}\biggr) \cos\xi - \alpha \biggl( \frac{\sin^2\xi}{\xi^2} +\cos^2\xi \biggr)\biggr] \, , </math>

and,

LHS

<math>~=</math>

<math> ~-\frac{\xi \sigma^2}{2} \biggl( \frac{ \xi^2 }{\sin\xi} \biggr) \biggl[\sin\xi - \xi \cos\xi \biggr] \, . </math>

If our trial eigenfunction is a proper solution to the polytropic wave equation, then the difference of these two expressions should be zero. Let's see:

<math>\frac{\sin\xi}{\xi^2} \biggl( \mathrm{RHS} - \mathrm{LHS} \biggr)</math>

<math>~=</math>

<math> ~ 1+\sin^2\xi - \biggl(\frac{\sin\xi}{\xi}\biggr) \cos\xi - \alpha \biggl( \frac{\sin^2\xi}{\xi^2} +\cos^2\xi \biggr) + \frac{\xi \sigma^2}{2} \biggl[\sin\xi - \xi \cos\xi \biggr] \, . </math>

This expression clearly is not zero, so our trial eigenfunction is not a good one. However, the terms in the wave equation did combine somewhat to give a fairly compact — albeit nonzero — expression. So we may be on the right track!

n = 5 Polytrope

Setup Using Lagrangian Radial Coordinate

Individual Terms

From our accompanying discussion, we have, for pressure-truncated, <math>~n=5</math> polytropic spheres

<math> ~\frac{R_\mathrm{eq}}{R_\mathrm{norm}} </math>

<math>~=~</math>

<math>~\biggl[ \frac{4\pi}{(n+1)^n}\biggr]^{1/(n-3)} \tilde\xi ( -\tilde\xi^2 \tilde\theta' )^{(1-n)/(n-3)} </math>

 

<math>~=~</math>

<math>~\biggl[ \frac{4\pi}{2^5\cdot 3^5}\biggr]^{1/2} \tilde\xi ( -\tilde\xi^2 \tilde\theta' )^{-2} \, , </math>

which matches the expression derived in an ASIDE box found with our introduction of the Lane-Emden equation, and

<math> ~\frac{P_\mathrm{e}}{P_\mathrm{norm}} </math>

<math>~=~</math>

<math>~\biggl[ \frac{(n+1)^3}{4\pi}\biggr]^{(n+1)/(n-3)} \tilde\theta_n^{n+1}( -\tilde\xi^2 \tilde\theta' )^{2(n+1)/(n-3)} </math>

 

<math>~=~</math>

<math>~\biggl[ \frac{2^3\cdot 3^3}{4\pi}\biggr]^{3} \tilde\theta^{6}( -\tilde\xi^2 \tilde\theta' )^{6} \, , </math>

where,

<math>~R_\mathrm{norm}</math>

<math>~\equiv</math>

<math>~\biggl[ \biggl( \frac{G}{K} \biggr)^n M_\mathrm{tot}^{n-1} \biggr]^{1/(n-3)} = \biggl( \frac{G}{K} \biggr)^{5/2} M_\mathrm{tot}^{2} \, ,</math>

<math>~P_\mathrm{norm}</math>

<math>~\equiv</math>

<math>~\biggl[ \frac{K^{4n}}{G^{3(n+1)} M_\mathrm{tot}^{2(n+1)}} \biggr]^{1/(n-3)} = \frac{K^{10}}{G^{9} M_\mathrm{tot}^{6} } \, ,</math>

and, from our more detailed analysis,

<math> ~{\tilde\theta}_5 = 3^{1 / 2} \biggl( 3 + {\tilde\xi}^2\biggr)^{-1/2} </math>

        and        

<math> ~\biggl(- {\tilde\xi}^2 {\tilde\theta}^'_5\biggr) = 3^{1 / 2} {\tilde\xi}^3 \biggl( 3 + {\tilde\xi}^2\biggr)^{-3/2} \, . </math>

Hence,

<math> ~\frac{R_\mathrm{eq}}{R_\mathrm{norm}} </math>

<math>~=~</math>

<math>~\biggl[ \frac{4\pi}{2^5\cdot 3^5}\biggr]^{1/2} \tilde\xi \biggl[ 3^{1 / 2} {\tilde\xi}^3 \biggl( 3 + {\tilde\xi}^2\biggr)^{-3/2} \biggr]^{-2} </math>

 

<math>~=~</math>

<math>~\biggl[ \frac{4\pi}{2^5\cdot 3^5}\biggr]^{1/2} \tilde\xi \biggl[ 3^{-1} {\tilde\xi}^{-6} \biggl( 3 + {\tilde\xi}^2\biggr)^{3} \biggr] </math>

 

<math>~=~</math>

<math>~ \biggl[ \frac{4\pi}{2^5\cdot 3^7}\biggr]^{1/2}

{\tilde\xi}^{-5} \biggl( 3 + {\tilde\xi}^2\biggr)^{3}  \, ,

</math>

<math> ~\frac{P_\mathrm{e}}{P_\mathrm{norm}} </math>

<math>~=~</math>

<math>~\biggl[ \frac{2^3\cdot 3^3}{4\pi}\biggr]^{3} \biggl[ 3^{1 / 2} \biggl( 3 + {\tilde\xi}^2\biggr)^{-1/2} \biggr]^{6} \biggl[ 3^{1 / 2} {\tilde\xi}^3 \biggl( 3 + {\tilde\xi}^2\biggr)^{-3/2} \biggr]^{6} </math>

 

<math>~=~</math>

<math>~\biggl[ \frac{2^3\cdot 3^3}{4\pi}\biggr]^{3} \biggl[ 3^{3} \biggl( 3 + {\tilde\xi}^2\biggr)^{-3} \biggr] \biggl[ 3^{3} {\tilde\xi}^{18} \biggl( 3 + {\tilde\xi}^2\biggr)^{-9} \biggr] </math>

 

<math>~=~</math>

<math>~\biggl[ \frac{2^3\cdot 3^5}{4\pi}\biggr]^{3} {\tilde\xi}^{18} \biggl( 3 + {\tilde\xi}^2\biggr)^{-12} \, . </math>

Now, given that the structural form-factors for <math>~n=5</math> configurations are,

<math>~\mathfrak{f}_M</math>

<math>~=</math>

<math>~ ( 1 + \ell^2 )^{-3/2} = 3^{3 / 2} (3 + {\tilde\xi}^2)^{-3 / 2} </math>

<math>~\mathfrak{f}_W</math>

<math>~=</math>

<math>~ \frac{5}{2^4} \cdot \ell^{-5} \biggl[ \ell \biggl( \ell^4 - \frac{8}{3}\ell^2 - 1 \biggr)(1 + \ell^2)^{-3} + \tan^{-1}(\ell ) \biggr] </math>

<math>~\mathfrak{f}_A</math>

<math>~=</math>

<math>~ \frac{3}{2^3} \ell^{-3} [ \tan^{-1}(\ell ) + \ell (\ell^2-1) (1+\ell^2)^{-2} ] \, , </math>

we understand that the central density is,

<math>~\rho_c = \frac{\bar\rho}{ {\tilde\mathfrak{f}}_M }</math>

<math>~=</math>

<math>~ \biggl[3^{3 / 2} (3 + {\tilde\xi}^2)^{-3 / 2} \biggr]^{-1} \biggl[ \frac{3 M_\mathrm{tot}}{4 \pi R_\mathrm{eq}^3} \biggr] </math>

 

<math>~=</math>

<math>~ \biggl( \frac{3}{4\pi}\biggr) \biggl[ \frac{2^5\cdot 3^6}{4\pi}\biggr]^{ 3 / 2} (3 + {\tilde\xi}^2)^{3 / 2} M_\mathrm{tot} \biggl[ R_\mathrm{norm}

{\tilde\xi}^{-5} \biggl( 3 + {\tilde\xi}^2\biggr)^{3} \biggr]^{-3}

</math>

 

<math>~=</math>

<math>~ \biggl[ \frac{2^{5}\cdot 3^{20}}{\pi^5}\biggr]^{ 1 / 2} {\tilde\xi}^{15} (3 + {\tilde\xi}^2)^{-15 / 2} M_\mathrm{tot} R^{-3}_\mathrm{norm} </math>

 

<math>~=</math>

<math>~ \biggl[ \frac{2^{5}\cdot 3^{20}}{\pi^5}\biggr]^{ 1 / 2} \biggl[{\tilde\xi} (3 + {\tilde\xi}^2)^{-1 / 2} \biggr]^{15} M_\mathrm{tot}^{-5} \biggl( \frac{G}{K} \biggr)^{-15/2} </math>

 

<math>~=</math>

<math>~ \biggl[ \frac{2\cdot 3^{4}}{\pi}\biggr]^{ 5 / 2} \biggl[{\tilde\xi} (3 + {\tilde\xi}^2)^{-1 / 2} \biggr]^{15} \biggl( \frac{K^3}{G^3M_\mathrm{tot}^2} \biggr)^{5/2} \, . </math>

Now let's derive the prescription for the Lagrangian radial coordinate in the context of pressure-truncated, <math>~n=5</math> polytropes.

<math>~r_0 \equiv a_5 \xi</math>

<math>~=</math>

<math>~\biggl[\frac{3K}{2\pi G} \biggr]^{1 / 2} \rho_c^{-2/5} \xi</math>

 

<math>~=</math>

<math>~\biggl[\frac{3K}{2\pi G} \biggr]^{1 / 2} \xi \biggl\{ \biggl[ \frac{2\cdot 3^{4}}{\pi}\biggr]^{ 5 / 2} \biggl[{\tilde\xi} (3 + {\tilde\xi}^2)^{-1 / 2} \biggr]^{15} \biggl( \frac{K^3}{G^3M_\mathrm{tot}^2} \biggr)^{5/2} \biggr\}^{-2/5} </math>

 

<math>~=</math>

<math>~\biggl[\frac{3K}{2\pi G} \biggr]^{1 / 2} \biggl[ \frac{\pi}{2\cdot 3^{4}}\biggr] \biggl( \frac{G^3M_\mathrm{tot}^2}{K^3} \biggr) \biggl[ \frac{(3 + {\tilde\xi}^2)}{ {\tilde\xi}^2}\biggr]^{3} \xi </math>

 

<math>~=</math>

<math>~ R_\mathrm{norm} \biggl[ \frac{\pi}{2^3\cdot 3^{7}}\biggr]^{1 / 2} \biggl[ \frac{(3 + {\tilde\xi}^2)}{ {\tilde\xi}^2}\biggr]^{3} \xi </math>

Also,

<math>~m_0 \equiv M(r_0)</math>

<math>~=</math>

<math>~\biggl[ 4\pi a_n^3 \rho_c \biggl(-\xi^2 \frac{d\theta}{d\xi}\biggr) \biggr] \, ,</math>

 

<math>~=</math>

<math>~2^2\pi \biggl\{ R_\mathrm{norm} \biggl[ \frac{\pi}{2^3\cdot 3^{7}}\biggr]^{1 / 2} \tilde\xi^{-6} (3 + {\tilde\xi}^2)^{3} \biggr\}^3 \biggl\{ \biggl[ \frac{2\cdot 3^{4}}{\pi}\biggr]^{ 5 / 2} \biggl[{\tilde\xi} (3 + {\tilde\xi}^2)^{-1 / 2} \biggr]^{15} \biggl( \frac{K^3}{G^3M_\mathrm{tot}^2} \biggr)^{5/2} \biggr\} \biggl\{ 3^{1 / 2} \xi^3 \biggl( 3 + \xi^2\biggr)^{-3/2} \biggr\} </math>

 

<math>~=</math>

<math>~ 3^{1 / 2} \biggl[ 2^4 \pi^2\biggr]^{1 / 2} \biggl[ \frac{\pi^3}{2^9\cdot 3^{21}}\biggr]^{1 / 2} \biggl[ \frac{2^5\cdot 3^{20}}{\pi^5}\biggr]^{ 1 / 2} \biggl\{ \tilde\xi^{-6} (3 + {\tilde\xi}^2)^{3} \biggr\}^3 \biggl[{\tilde\xi} (3 + {\tilde\xi}^2)^{-1 / 2} \biggr]^{15} \biggl( \frac{K^3}{G^3M_\mathrm{tot}^2} \biggr)^{5/2} R_\mathrm{norm}^3 \biggl\{ \xi^3 ( 3 + \xi^2 )^{-3/2} \biggr\} </math>

 

<math>~=</math>

<math>~ \biggl\{ \tilde\xi^{-3} (3 + {\tilde\xi}^2)^{3 / 2} \biggr\} M_\mathrm{tot} \biggl\{ \xi^3 ( 3 + \xi^2 )^{-3/2} \biggr\} \, . </math>

Hence,

<math>~g_0 = \frac{Gm_0}{r_0^2}</math>

<math>~=</math>

<math>~ \frac{GM_\mathrm{tot}}{R_\mathrm{norm}^2} \biggl\{ \tilde\xi^{-3} (3 + {\tilde\xi}^2)^{3 / 2} \biggr\} \biggl\{ \xi^3 ( 3 + \xi^2 )^{-3/2} \biggr\} \biggl\{ \biggl[ \frac{\pi}{2^3\cdot 3^{7}}\biggr]^{1 / 2} \biggl[ \frac{(3 + {\tilde\xi}^2)}{ {\tilde\xi}^2}\biggr]^{3} \xi \biggr\}^{-2} </math>

 

<math>~=</math>

<math>~ \frac{GM_\mathrm{tot}}{R_\mathrm{norm}^2}\biggl[ \frac{2^3\cdot 3^{7}}{\pi}\biggr] \biggl[ \tilde\xi (3 + {\tilde\xi}^2)^{-1 / 2} \biggr]^{9} \xi ( 3 + \xi^2 )^{-3/2} \, ; </math>

<math>~\frac{g_0 }{r_0} </math>

<math>~=</math>

<math>~ \frac{GM_\mathrm{tot}}{R_\mathrm{norm}^3}\biggl[ \frac{2^3\cdot 3^{7}}{\pi}\biggr] \biggl\{ \tilde\xi^{9} (3 + {\tilde\xi}^2)^{-9 / 2} \biggr\} \biggl\{ \biggl[ \frac{\pi}{2^3\cdot 3^{7}}\biggr]^{1 / 2} \biggl[ \frac{(3 + {\tilde\xi}^2)}{ {\tilde\xi}^2}\biggr]^{3} \xi \biggr\}^{-1} \xi ( 3 + \xi^2 )^{-3/2} </math>

 

<math>~=</math>

<math>~ \frac{GM_\mathrm{tot}}{R_\mathrm{norm}^3}\biggl[ \frac{2^3\cdot 3^{7}}{\pi}\biggr]^{3/2} \biggl[ \tilde\xi (3 + {\tilde\xi}^2)^{-1 / 2} \biggr]^{15} ( 3 + \xi^2 )^{-3/2} \, ; </math>


<math>~\frac{\rho_0}{P_0} = \frac{\rho_0}{K\rho_0^{1+1/n}} </math>

<math>~=</math>

<math>~ \biggl[K^5 \rho_c \theta^5 \biggr]^{-1/5} </math>

 

<math>~=</math>

<math>~ \theta^{-1} \biggl\{ K^5 \biggl[ \frac{2\cdot 3^{4}}{\pi}\biggr]^{ 5 / 2} \biggl[{\tilde\xi} (3 + {\tilde\xi}^2)^{-1 / 2} \biggr]^{15} \biggl( \frac{K^3}{G^3M_\mathrm{tot}^2} \biggr)^{5/2}\biggr\}^{-1/5} </math>

 

<math>~=</math>

<math>~ \biggl[ 3^{-1} ( 3 + \xi^2 ) \biggr]^{1/2} \biggl\{ \biggl[ \frac{\pi}{2\cdot 3^{4}}\biggr]^{1 / 2} \biggl[{\tilde\xi}^{-3} (3 + {\tilde\xi}^2)^{3 / 2} \biggr]^{-3} \biggl( \frac{G^3M_\mathrm{tot}^2}{K^5} \biggr)^{1/2}\biggr\} </math>

 

<math>~=</math>

<math>~ \biggl( \frac{G^3M_\mathrm{tot}^2}{K^5} \biggr)^{1 / 2} \biggl[ \frac{\pi}{2\cdot 3^{5}}\biggr]^{1 / 2} \biggl[ {\tilde\xi} (3 + {\tilde\xi}^2)^{-1 / 2} \biggr]^{9} ( 3 + \xi^2 )^{1 / 2} \, ; </math>

<math>~\frac{g_0\rho_0}{P_0} </math>

<math>~=</math>

<math>~ \biggl( \frac{G^3M_\mathrm{tot}^2}{K^5} \biggr)^{1 / 2} \biggl[ \frac{\pi}{2\cdot 3^{5}}\biggr]^{1 / 2} \biggl[ {\tilde\xi} (3 + {\tilde\xi}^2)^{-1 / 2} \biggr]^{9} ( 3 + \xi^2 )^{1/2}</math>

 

 

<math>~ \times ~ \biggl( \frac{G^2M_\mathrm{tot}^2}{R_\mathrm{norm}^4} \biggr)^{1 / 2}\biggl[ \frac{2^6\cdot 3^{14}}{\pi^2}\biggr]^{1 / 2} \biggl[ \tilde\xi (3 + {\tilde\xi}^2)^{-1 / 2} \biggr]^{9} \xi ( 3 + \xi^2 )^{-3/2} </math>

 

<math>~=</math>

<math>~ \biggl( \frac{G^5 M_\mathrm{tot}^4}{K^5} \biggr)^{1 / 2} R_\mathrm{norm}^{-2} \biggl[ {\tilde\xi} (3 + {\tilde\xi}^2)^{-1 / 2} \biggr]^{18} \biggl[ \frac{2^5\cdot 3^{9}}{\pi}\biggr]^{1 / 2} \xi ( 3 + \xi^2 )^{-1} </math>

 

<math>~=</math>

<math>~ \biggl( \frac{K^5}{G^5 M_\mathrm{tot}^4} \biggr)^{1 / 2} \biggl[ {\tilde\xi} (3 + {\tilde\xi}^2)^{-1 / 2} \biggr]^{18} \biggl[ \frac{2^5\cdot 3^{9}}{\pi}\biggr]^{1 / 2} \xi ( 3 + \xi^2 )^{-1} \, . </math>

The Wave Equation

The adiabatic wave equation therefore becomes,

<math>~0</math>

<math>~=</math>

<math>~ \frac{d^2x}{dr_0^2} + \biggl[\frac{4}{r_0} - \biggl(\frac{g_0 \rho_0}{P_0}\biggr) \biggr] \frac{dx}{dr_0} + \biggl(\frac{\rho_0}{\gamma_\mathrm{g} P_0} \biggr)\biggl[\omega^2 + (4 - 3\gamma_\mathrm{g})\frac{g_0}{r_0} \biggr] x </math>

 

<math>~=</math>

<math>~ \frac{d^2x}{dr_0^2} + \frac{1}{R_\mathrm{norm}} \biggl\{ \biggl[ \frac{2^7\cdot 3^{7}}{\pi} \biggr]^{1 / 2} \biggl[ \frac{ {\tilde\xi}^2}{(3 + {\tilde\xi}^2)} \biggr]^{3} \frac{1}{\xi} - \biggl[ {\tilde\xi} (3 + {\tilde\xi}^2)^{-1 / 2} \biggr]^{18} \biggl[ \frac{2^5\cdot 3^{9}}{\pi}\biggr]^{1 / 2} \xi ( 3 + \xi^2 )^{-1} \biggr\} \frac{dx}{dr_0} </math>

 

 

<math>~ + \frac{(4 - 3\gamma_\mathrm{g})}{\gamma_g R_\mathrm{norm}^2} \biggl[ \frac{\pi}{2\cdot 3^{5}}\biggr]^{1 / 2} \biggl[ {\tilde\xi} (3 + {\tilde\xi}^2)^{-1 / 2} \biggr]^{9} ( 3 + \xi^2 )^{1 / 2} \biggl\{ \frac{R_\mathrm{norm}^3}{GM_\mathrm{tot}} \biggl[\frac{\omega^2}{(4 - 3\gamma_\mathrm{g})} \biggr] + \biggl[ \frac{2^3\cdot 3^{7}}{\pi}\biggr]^{3/2} \biggl[ \tilde\xi (3 + {\tilde\xi}^2)^{-1 / 2} \biggr]^{15} ( 3 + \xi^2 )^{-3/2} \biggr\} x </math>

 

<math>~=</math>

<math>~R_\mathrm{norm}^2 \biggl[ \frac{\pi}{2^3 \cdot 3^7} \biggr] \frac{d^2x}{dr_0^2} + \biggl[ \frac{\pi}{2^3 \cdot 3^7} \biggr]^{1/2} \biggl[ \frac{2^5 \cdot 3^{7}}{\pi} \biggr]^{1 / 2} \biggl\{ 2\biggl[ \frac{ {\tilde\xi}^2}{(3 + {\tilde\xi}^2)} \biggr]^{3} \frac{1}{\xi} - 3 \biggl[ {\tilde\xi} (3 + {\tilde\xi}^2)^{-1 / 2} \biggr]^{18} \xi ( 3 + \xi^2 )^{-1} \biggr\} \biggl[ \frac{\pi}{2^3 \cdot 3^7} \biggr]^{1/2} R_\mathrm{norm} \frac{dx}{dr_0} </math>

 

 

<math>~ + (4/\gamma_\mathrm{g} - 3) \biggl[ \frac{\pi}{2^3 \cdot 3^7} \biggr] \biggl[ \frac{\pi}{2\cdot 3^{5}}\biggr]^{1 / 2} \biggl[ {\tilde\xi} (3 + {\tilde\xi}^2)^{-1 / 2} \biggr]^{9} ( 3 + \xi^2 )^{1 / 2} \biggl\{ \frac{R_\mathrm{norm}^3}{GM_\mathrm{tot}} \biggl[\frac{\omega^2}{(4 - 3\gamma_\mathrm{g})} \biggr] + \biggl[ \frac{2^3\cdot 3^{7}}{\pi}\biggr]^{3/2} \biggl[ \tilde\xi (3 + {\tilde\xi}^2)^{-1 / 2} \biggr]^{15} ( 3 + \xi^2 )^{-3/2} \biggr\} x </math>

 

<math>~=</math>

<math>~R_*^2 \frac{d^2x}{dr_0^2} + 2\biggl\{ 2\biggl[ \frac{ {\tilde\xi}^2}{(3 + {\tilde\xi}^2)} \biggr]^{3} \frac{1}{\xi} - 3 \biggl[ {\tilde\xi} (3 + {\tilde\xi}^2)^{-1 / 2} \biggr]^{18} \xi ( 3 + \xi^2 )^{-1} \biggr\} R_* \frac{dx}{dr_0} </math>

 

 

<math>~ + 6(4/\gamma_\mathrm{g} - 3) \biggl[ {\tilde\xi} (3 + {\tilde\xi}^2)^{-1 / 2} \biggr]^{9} ( 3 + \xi^2 )^{1 / 2} \biggl\{ \frac{R_*^3}{GM_\mathrm{tot}} \biggl[\frac{\omega^2}{(4 - 3\gamma_\mathrm{g})} \biggr] + \biggl[ \tilde\xi (3 + {\tilde\xi}^2)^{-1 / 2} \biggr]^{15} ( 3 + \xi^2 )^{-3/2} \biggr\} x \, , </math>

where,

<math>R_* \equiv R_\mathrm{norm} \biggl[ \frac{\pi}{2^3 \cdot 3^7} \biggr]^{1/2} \, .</math>

Recognizing that,

<math>~r_0</math>

<math>~=</math>

<math>~ R_* \biggl[ \frac{(3 + {\tilde\xi}^2)}{ {\tilde\xi}^2}\biggr]^{3} \xi \, , </math>

and abbreviating constant coefficients, we can write,

<math>~0</math>

<math>~=</math>

<math>~\biggl[ \frac{ {\tilde\xi}^2}{(3 + {\tilde\xi}^2)}\biggr]^{6} \frac{d^2x}{d\xi^2} + 2\biggl\{ 2\biggl[ \frac{ {\tilde\xi}^2}{(3 + {\tilde\xi}^2)} \biggr]^{3} \frac{1}{\xi} - 3 \biggl[ {\tilde\xi} (3 + {\tilde\xi}^2)^{-1 / 2} \biggr]^{18} \xi ( 3 + \xi^2 )^{-1} \biggr\} \biggl[ \frac{ {\tilde\xi}^2}{(3 + {\tilde\xi}^2)}\biggr]^{3} \frac{dx}{d\xi} </math>

 

 

<math>~ + 6(4/\gamma_\mathrm{g} - 3) \biggl[ {\tilde\xi} (3 + {\tilde\xi}^2)^{-1 / 2} \biggr]^{24} ( 3 + \xi^2 )^{1 / 2} \biggl\{ \frac{R_*^3}{GM_\mathrm{tot}} \biggl[ \tilde\xi (3 + {\tilde\xi}^2)^{-1 / 2} \biggr]^{-15} \biggl[\frac{\omega^2}{(4 - 3\gamma_\mathrm{g})} \biggr] + ( 3 + \xi^2 )^{-3/2} \biggr\} x </math>

 

<math>~=</math>

<math>~\biggl[ \frac{ {\tilde\xi}^2}{(3 + {\tilde\xi}^2)}\biggr]^{6} \frac{d^2x}{d\xi^2} + \biggl\{ \frac{4}{\xi} - 6 \biggl[ \frac{ {\tilde\xi}^2}{(3 + {\tilde\xi}^2)} \biggr]^{6} \xi ( 3 + \xi^2 )^{-1} \biggr\} \biggl[ \frac{ {\tilde\xi}^2}{(3 + {\tilde\xi}^2)}\biggr]^{6} \frac{dx}{d\xi} </math>

 

 

<math>~ + 6(4/\gamma_\mathrm{g} - 3) \biggl[ \frac{ {\tilde\xi}^{2} }{ (3 + {\tilde\xi}^2) }\biggr]^{12} ( 3 + \xi^2 )^{1 / 2} \biggl\{ \frac{R_*^3}{GM_\mathrm{tot}} \biggl[ \tilde\xi (3 + {\tilde\xi}^2)^{-1 / 2} \biggr]^{-15} \biggl[\frac{\omega^2}{(4 - 3\gamma_\mathrm{g})} \biggr] + ( 3 + \xi^2 )^{-3/2} \biggr\} x </math>

<math>~\Rightarrow ~~~0</math>

<math>~=</math>

<math>~ \frac{d^2x}{d\xi^2} + \frac{1}{\xi} \biggl\{4 - A \biggl[ \frac{\xi^2}{ ( 3 + \xi^2 )}\biggr] \biggr\} \frac{dx}{d\xi} + (4/\gamma_\mathrm{g} - 3) A ( 3 + \xi^2 )^{1 / 2} \biggl\{ \sigma^2+ ( 3 + \xi^2 )^{-3/2} \biggr\} x \, , </math>

where,

<math>~A</math>

<math>~\equiv</math>

<math>~6 \biggl[ \frac{ {\tilde\xi}^2}{(3 + {\tilde\xi}^2)} \biggr]^{6} \, ,</math>

<math>~\sigma^2</math>

<math>~\equiv</math>

<math>~\frac{R_*^3}{GM_\mathrm{tot}} \biggl[ \tilde\xi (3 + {\tilde\xi}^2)^{-1 / 2} \biggr]^{-15} \biggl[\frac{\omega^2}{(4 - 3\gamma_\mathrm{g})} \biggr] \, .</math>

Setup Using Lagrangian Mass Coordinate

Alternative Terms

Let's change the independent coordinate from <math>~r_0</math> to <math>~m_0</math>. In particular, the derivative operation will change as follows:

<math>~\frac{d}{dr_0}</math>

<math>~~\rightarrow~~</math>

<math>~\biggl( \frac{dm_0}{dr_0} \biggr)\frac{d}{dm_0} = \biggl( \frac{dm_0}{d\xi} \cdot \frac{d\xi}{dr_0} \biggr)\frac{d}{dm_0} \, ,</math>

so what is the expression for the leading coefficient? From above, we have,

<math>~r_0</math>

<math>~=</math>

<math>~ R_* \biggl[ \frac{(3 + {\tilde\xi}^2)}{ {\tilde\xi}^2}\biggr]^{3} \xi </math>

<math>~\Rightarrow ~~~ \xi</math>

<math>~=</math>

<math>~ \frac{1}{R_*} \biggl[ \frac{ {\tilde\xi}^2}{(3 + {\tilde\xi}^2)}\biggr]^{3} r_0 \, . </math>

Also, from above, we know that,

<math>~m_0</math>

<math>~=</math>

<math>~ M_\mathrm{tot} \biggl[ \frac{(3 + {\tilde\xi}^2)}{ {\tilde\xi}^2}\biggr]^{3 / 2} \biggl\{ \xi^3 ( 3 + \xi^2 )^{-3/2} \biggr\} </math>

<math>~\Rightarrow ~~~ \frac{dm_0}{d\xi}</math>

<math>~=</math>

<math>~ M_\mathrm{tot} \biggl[ \frac{(3 + {\tilde\xi}^2)}{ {\tilde\xi}^2}\biggr]^{3 / 2} \biggl\{ 3\xi^2 ( 3 + \xi^2 )^{-3/2} - 3 \xi^4 ( 3 + \xi^2 )^{-5/2}\biggr\} </math>

 

<math>~=</math>

<math>~ M_\mathrm{tot} \biggl[ \frac{(3 + {\tilde\xi}^2)}{ {\tilde\xi}^2}\biggr]^{3 / 2} 3\xi^2 (3 + \xi^2)^{-5/2} \biggl\{ ( 3 + \xi^2 ) - \xi^2 \biggr\} </math>

 

<math>~=</math>

<math>~ M_\mathrm{tot} \biggl[ \frac{(3 + {\tilde\xi}^2)}{ {\tilde\xi}^2}\biggr]^{3 / 2} 3^2\xi^2 (3 + \xi^2)^{-5/2} </math>

<math>~\Rightarrow ~~~ \frac{dm_0}{dr_0}</math>

<math>~=</math>

<math>~ M_\mathrm{tot} \biggl[ \frac{(3 + {\tilde\xi}^2)}{ {\tilde\xi}^2}\biggr]^{3 / 2} 3^2\xi^2 (3 + \xi^2)^{-5/2} \frac{1}{R_*} \biggl[ \frac{ {\tilde\xi}^2}{(3 + {\tilde\xi}^2)}\biggr]^{3} </math>

 

<math>~=</math>

<math>~ \frac{M_\mathrm{tot} }{R_*} \biggl[ \frac{ {\tilde\xi}^2}{(3 + {\tilde\xi}^2)}\biggr]^{3 / 2} 3^2\xi^2 (3 + \xi^2)^{-5/2} \, . </math>

To simplify expressions, let's borrow from an accompanying derivation and define,

<math>\tilde{C} \equiv \frac{3^2}{{\tilde\xi}^2} \biggl( 1 + \frac{ {\tilde\xi}^2}{3} \biggr) = 3 \biggl[ \frac{( 3 + {\tilde\xi}^2 )}{ {\tilde\xi}^2} \biggr] \, .</math>

Then we have,

<math>~\frac{m_0}{M_\mathrm{tot}}</math>

<math>~=</math>

<math>~ \biggl[ \frac{\tilde{C}}{ 3}\biggr]^{3 / 2} \biggl[ \frac{\xi^2}{ ( 3 + \xi^2 )} \biggr]^{3/2} </math>

<math>~\Rightarrow ~~~\biggl[ \frac{ 3}{\tilde{C}}\biggr] \biggl[\frac{m_0}{M_\mathrm{tot}}\biggr]^{2 / 3}</math>

<math>~=</math>

<math>~ \frac{\xi^2}{ ( 3 + \xi^2 )} </math>

<math>~\Rightarrow ~~~( 3 + \xi^2 )\biggl[ \frac{ 3}{\tilde{C}}\biggr] \biggl[\frac{m_0}{M_\mathrm{tot}}\biggr]^{2 / 3}</math>

<math>~=</math>

<math>~ \xi^2 </math>

<math>~\Rightarrow ~~~3 m_*</math>

<math>~=</math>

<math>~ \xi^2 (1-m_*) </math>

<math>~\Rightarrow ~~~\xi^2 </math>

<math>~=</math>

<math>~ \frac{3m_*}{(1-m_*)} \, , </math>

where,

<math>~m_* \equiv \biggl[ \frac{ 3}{\tilde{C}}\biggr] \biggl[\frac{m_0}{M_\mathrm{tot}}\biggr]^{2 / 3} \, .</math>

In summary:

<math>~ \frac{\xi^2}{ ( 3 + \xi^2 )} = m_* \, ; </math>

      while,      

<math>~ \frac{ {\tilde\xi}^2}{ ( 3 + {\tilde\xi}^2 )} = \frac{3}{\tilde{C}} \, ; </math>

<math>~r_0</math>

<math>~=</math>

<math>~ R_* \biggl[ \frac{(3 + {\tilde\xi}^2)}{ {\tilde\xi}^2}\biggr]^{3} \xi = R_* \biggl( \frac{ \tilde{C} }{ 3}\biggr)^{3} \biggr[ \frac{3m_*}{ (1-m_*) }\biggr]^{1 / 2} \, ; </math>

<math>~\frac{g_0\rho_0}{P_0} </math>

<math>~=</math>

<math>~ \frac{6}{R_*} \biggl[ \frac{ {\tilde\xi}^2 }{ (3 + {\tilde\xi}^2) }\biggr]^{9} \frac{\xi}{ ( 3 + \xi^2 )} = \frac{6}{R_*} \biggl[ \frac{ 3 }{ \tilde{C} }\biggr]^{9} \frac{m_*}{ \xi } = \frac{6}{R_*} \biggl[ \frac{ 3 }{ \tilde{C} }\biggr]^{9} m_* \biggl[ \frac{(1-m_*)}{3m_*} \biggr]^{1 / 2} \, ; </math>

<math>~\frac{g_0 }{r_0} </math>

<math>~=</math>

<math>~ \frac{GM_\mathrm{tot}}{R_*^3} \biggl[ \frac{ {\tilde\xi}^2 }{ (3 + {\tilde\xi}^2)}\biggr]^{15/2} \frac{1}{\xi^3} \biggl[ \frac{ \xi^2 }{ ( 3 + \xi^2 ) }\biggr]^{3/2} = \frac{GM_\mathrm{tot}}{R_*^3} \biggl[ \frac{3 }{ \tilde{C} }\biggr]^{15/2} (1-m_*)^{3 / 2} \, ; </math>

<math>~\frac{\rho_0}{\gamma_g P_0} </math>

<math>~=</math>

<math>~ \frac{6R_* }{\gamma_g GM_\mathrm{tot} }\biggl( \frac{ 3}{ \tilde{C} } \biggr)^{9 / 2} \biggl[ \frac{3}{(1-m_*)}\biggr]^{1 / 2} \, . </math>

So, the wave equation may be written as,

<math>~0</math>

<math>~=</math>

<math>~ \frac{d^2x}{dr_0^2} + \biggl[\frac{4}{r_0} - \biggl(\frac{g_0 \rho_0}{P_0}\biggr) \biggr] \frac{dx}{dr_0} + \biggl(\frac{\rho_0}{\gamma_\mathrm{g} P_0} \biggr)\biggl[\omega^2 + (4 - 3\gamma_\mathrm{g})\frac{g_0}{r_0} \biggr] x </math>

 

<math>~=</math>

<math>~ \frac{d^2x}{dr_0^2} + \biggl\{ \frac{4}{R_*} \biggl( \frac{ 3}{ \tilde{C} }\biggr)^{3} \biggr[ \frac{ (1-m_*) }{3m_*}\biggr]^{1 / 2} - \frac{6}{R_*} \biggl[ \frac{ 3 }{ \tilde{C} }\biggr]^{9} m_* \biggl[ \frac{(1-m_*)}{3m_*} \biggr]^{1 / 2} \biggr\} \frac{dx}{dr_0} </math>

 

 

<math>~ + \frac{6R_* }{\gamma_g GM_\mathrm{tot} }\biggl( \frac{ 3}{ \tilde{C} } \biggr)^{9 / 2} \biggl[ \frac{3}{(1-m_*)}\biggr]^{1 / 2} \biggl\{ \omega^2 + (4 - 3\gamma_\mathrm{g})\frac{GM_\mathrm{tot}}{R_*^3} \biggl[ \frac{3 }{ \tilde{C} }\biggr]^{15/2} (1-m_*)^{3 / 2} \biggr\} x </math>

 

<math>~=</math>

<math>~ \frac{d^2x}{dr_0^2} + \frac{1}{R_*} \biggl( \frac{ 3}{ \tilde{C} }\biggr)^{3} \biggl\{ 4 - 6\biggl[ \frac{ 3 }{ \tilde{C} }\biggr]^{6} m_* \biggr\} \biggr[ \frac{ (1-m_*) }{3m_*}\biggr]^{1 / 2}\frac{dx}{dr_0} </math>

 

 

<math>~ + \frac{6(4 - 3\gamma_\mathrm{g}) }{\gamma_g } \cdot \frac{1 }{R_*^2} \biggl( \frac{3 }{ \tilde{C} }\biggr)^{3} \biggl[ \frac{3}{(1-m_*)}\biggr]^{1 / 2} \biggl\{\sigma^2 + (1-m_*)^{3 / 2} \biggr\} x </math>

 

<math>~=</math>

<math>~\frac{1 }{R_*^2} \biggl( \frac{3 }{ \tilde{C} }\biggr)^{3} \biggl\{ R_*^2 \biggl( \frac{ \tilde{C} }{3 }\biggr)^{3} \frac{d^2x}{dr_0^2} + R_* \biggl[ 4 - 6\biggl( \frac{ 3 }{ \tilde{C} }\biggr)^{6} m_* \biggr] \biggr[ \frac{ (1-m_*) }{3m_*}\biggr]^{1 / 2}\frac{dx}{dr_0} </math>

 

 

<math>~ + \frac{6(4 - 3\gamma_\mathrm{g}) }{\gamma_g } \cdot \biggl[ \frac{3}{(1-m_*)}\biggr]^{1 / 2} \biggl[ \sigma^2 + (1-m_*)^{3 / 2} \biggr] x \biggr\} </math>

 

<math>~=</math>

<math>~\frac{1 }{R_*^2} \biggl( \frac{3 }{ \tilde{C} }\biggr)^{3} \biggl[ \frac{1}{3m_*(1-m_*)}\biggr]^{1 / 2} \biggl\{ [ 3m_*(1-m_*) ]^{1 / 2} R_*^2 \biggl( \frac{ \tilde{C} }{3 }\biggr)^{3} \frac{d^2x}{dr_0^2} + R_* \biggl[ 4 - 6\biggl( \frac{ 3 }{ \tilde{C} }\biggr)^{6} m_* \biggr] (1-m_*) \frac{dx}{dr_0} </math>

 

 

<math>~ + \frac{18(4 - 3\gamma_\mathrm{g}) }{\gamma_g } \cdot m_*^{1 / 2} \biggl[ \sigma^2 + (1-m_*)^{3 / 2} \biggr] x \biggr\} \, , </math>

where,

<math>~\sigma^2 \equiv (4 - 3\gamma_\mathrm{g})^{-1} \frac{R_*^3}{GM_\mathrm{tot}} \biggl[ \frac{ \tilde{C} }{3 } \biggr]^{15/2} \omega^2 \, .</math>

Now, let's look at the differential operators, after defining.

<math>~c_0 \equiv 3^{1 / 2} R_* \biggl( \frac{ \tilde{C} }{ 3}\biggr)^{3} ~~~~\Rightarrow ~~~~R_* = c_0 3^{-1 / 2} \biggl( \frac{ \tilde{C} }{ 3}\biggr)^{-3} \, .</math>

We find,

<math>~dr_0</math>

<math>~=</math>

<math>~ c_0 ~d[ m_*^{1 / 2} (1-m_*)^{-1 / 2} ] </math>

 

<math>~=</math>

<math>~ c_0 ~\biggl[\frac{1}{2} ~m_*^{-1 / 2}( 1 - m_*)^{-1 / 2} + \frac{1}{2} ~m_*^{1 / 2} (1 - m_*)^{-3 / 2} \biggr] dm_* </math>

 

<math>~=</math>

<math>~ \frac{c_0}{2} ~m_*^{-1 / 2}( 1 - m_*)^{-3 / 2}~ dm_* </math>

<math>~\frac{d}{dr_0}</math>

<math>~=</math>

<math>~ \frac{2}{c_0} ~m_*^{1 / 2}( 1 - m_*)^{3 / 2}~ \frac{d}{dm_*} </math>

<math>~\Rightarrow ~~~ R_*\frac{dx}{dr_0}</math>

<math>~=</math>

<math>~ \frac{2}{3^{1 / 2}}\biggl( \frac{ \tilde{C} }{ 3}\biggr)^{-3} ~m_*^{1 / 2}( 1 - m_*)^{3 / 2}~ \frac{dx}{dm_*} \, . </math>

Also,

<math>~\frac{d^2}{dr_0^2}</math>

<math>~=</math>

<math>~ \biggl( \frac{2}{c_0} \biggr)^{2}~m_*^{1 / 2}( 1 - m_*)^{3 / 2}~ \frac{d}{dm_*} \biggl[ m_*^{1 / 2}( 1 - m_*)^{3 / 2}~ \frac{d}{dm_*} \biggr] </math>

 

<math>~=</math>

<math>~ \biggl( \frac{2}{c_0} \biggr)^{2}~m_* ( 1 - m_*)^{3 }~ \frac{d^2}{dm_*^2} +\biggl( \frac{2}{c_0} \biggr)^{2}~m_*^{1 / 2}( 1 - m_*)^{3 / 2} \biggl[ \frac{1}{2} m_*^{-1 / 2}( 1 - m_*)^{3 / 2} - \frac{3}{2} m_*^{1 / 2}( 1 - m_*)^{1 / 2}~ \biggr] ~ \frac{d}{dm_*} </math>

 

<math>~=</math>

<math>~ \biggl( \frac{2}{c_0} \biggr)^{2}~m_* ( 1 - m_*)^{3 }~ \frac{d^2}{dm_*^2} +\frac{1}{2} \biggl( \frac{2}{c_0} \biggr)^{2}~ ( 1 - m_*)^{2} ( 1 - 4m_*) \frac{d}{dm_*} </math>

<math>~\Rightarrow ~~~ R_*^2 \biggl( \frac{ \tilde{C} }{3 }\biggr)^{3} \frac{d^2x}{dr_0^2}</math>

<math>~=</math>

<math>~ \biggl[\frac{2^2}{3} \biggl(\frac{ \tilde{C} }{3} \biggr)^{-3} \biggr] \biggl[ ~m_* ( 1 - m_*)^{3 }~ \frac{d^2x}{dm_*^2} +\frac{1}{2} ~ ( 1 - m_*)^{2} ( 1 - 4m_*) \frac{dx}{dm_*} \biggr] </math>

So, the wave equation becomes,

<math>~0</math>

<math>~=</math>

<math>~\frac{1 }{R_*^2} \biggl( \frac{3 }{ \tilde{C} }\biggr)^{3} \biggl[ \frac{1}{3m_*(1-m_*)}\biggr]^{1 / 2} \biggl\{ [ 3m_*(1-m_*) ]^{1 / 2} \biggl[\frac{2^2}{3} \biggl(\frac{ \tilde{C} }{3} \biggr)^{-3} \biggr] \biggl[ ~m_* ( 1 - m_*)^{3 }~ \frac{d^2x}{dm_*^2} +\frac{1}{2} ~ ( 1 - m_*)^{2} ( 1 - 4m_*) \frac{dx}{dm_*} \biggr] </math>

 

 

<math>~ + \biggl[ 4 - 6\biggl( \frac{ 3 }{ \tilde{C} }\biggr)^{6} m_* \biggr] (1-m_*) \biggl[ \frac{2}{3^{1 / 2}}\biggl( \frac{ \tilde{C} }{ 3}\biggr)^{-3} ~m_*^{1 / 2}( 1 - m_*)^{3 / 2}~ \frac{dx}{dm_*} \biggr] + \frac{18(4 - 3\gamma_\mathrm{g}) }{\gamma_g } \cdot m_*^{1 / 2} \biggl[ \sigma^2 + (1-m_*)^{3 / 2} \biggr] x \biggr\} </math>

 

<math>~=</math>

<math>~\frac{1 }{R_*^2} \biggl( \frac{3 }{ \tilde{C} }\biggr)^{6} \biggl[ \frac{1}{3m_*(1-m_*)}\biggr]^{1 / 2} \biggl\{ [ 3m_*(1-m_*) ]^{1 / 2} \biggl[\frac{2^2}{3} \biggr] \biggl[ ~m_* ( 1 - m_*)^{3 }~ \frac{d^2x}{dm_*^2} +\frac{1}{2} ~ ( 1 - m_*)^{2} ( 1 - 4m_*) \frac{dx}{dm_*} \biggr] </math>

 

 

<math>~ + \biggl[ 4 - 6\biggl( \frac{ 3 }{ \tilde{C} }\biggr)^{6} m_* \biggr] (1-m_*) \biggl[ \frac{2}{3^{1 / 2}} ~m_*^{1 / 2}( 1 - m_*)^{3 / 2}~ \frac{dx}{dm_*} \biggr] + \frac{18(4 - 3\gamma_\mathrm{g}) }{\gamma_g } \biggl( \frac{ \tilde{C} }{ 3}\biggr)^{3} m_*^{1 / 2} \biggl[ \sigma^2 + (1-m_*)^{3 / 2} \biggr] x \biggr\} </math>

 

<math>~=</math>

<math>~\frac{2 }{3R_*^2} \biggl( \frac{3 }{ \tilde{C} }\biggr)^{6} \biggl\{ 2m_* ( 1 - m_*)^{3 }~ \frac{d^2x}{dm_*^2} + ( 1 - m_*)^{2} ( 1 - 4m_*) \frac{dx}{dm_*} </math>

 

 

<math>~ + \biggl[ 4 - 6\biggl( \frac{ 3 }{ \tilde{C} }\biggr)^{6} m_* \biggr] (1-m_*)^2 \frac{dx}{dm_*} + \frac{9(4 - 3\gamma_\mathrm{g}) }{\gamma_g } \biggl( \frac{ \tilde{C} }{ 3}\biggr)^{3} \biggl[ \frac{3}{(1-m_*)}\biggr]^{1 / 2}\biggl[ \sigma^2 + (1-m_*)^{3 / 2} \biggr] x \biggr\} </math>

 

<math>~=</math>

<math>~\frac{2 }{3R_*^2} \biggl( \frac{3 }{ \tilde{C} }\biggr)^{6} \biggl\{ 2m_* ( 1 - m_*)^{3 }~ \frac{d^2x}{dm_*^2} </math>

 

 

<math>~ + \biggl[ 5 - 4m_* - 6\biggl( \frac{ 3 }{ \tilde{C} }\biggr)^{6} m_* \biggr] (1-m_*)^2 \frac{dx}{dm_*} + \frac{9(4 - 3\gamma_\mathrm{g}) }{\gamma_g } \biggl( \frac{ \tilde{C} }{ 3}\biggr)^{3} \biggl[ \frac{3}{(1-m_*)}\biggr]^{1 / 2}\biggl[ \sigma^2 + (1-m_*)^{3 / 2} \biggr] x \biggr\} </math>

 

<math>~=</math>

<math>~\frac{2 }{3R_*^2} \biggl( \frac{3 }{ \tilde{C} }\biggr)^{6} \biggl\{ 2m_* ( 1 - m_*)^{3 }~ \frac{d^2x}{dm_*^2} + (5 - \mathcal{A} m_*) (1-m_*)^2 \frac{dx}{dm_*} + \mathcal{B} \biggl[ \frac{\sigma^2}{(1-m_*)^{1 / 2}} + (1-m_*) \biggr] x \biggr\} \, , </math>

where,

<math>~\mathcal{A}</math>

<math>~\equiv</math>

<math>~4 + 6\biggl( \frac{ 3 }{ \tilde{C} }\biggr)^{6} \, ,</math>

<math>~\mathcal{B}</math>

<math>~\equiv</math>

<math>~\frac{3^{5/2}(4 - 3\gamma_\mathrm{g}) }{\gamma_g } \biggl( \frac{ \tilde{C} }{ 3}\biggr)^{3} \, .</math>

Try Again

This time, let's adopt the notation used in a related chapter in our Ramblings appendix. Specifically, the parametric relationship between <math>~m_\xi</math> and <math>~r_\xi</math> in pressure-truncated, <math>~n=5</math> polytropes is,

<math>~m_\xi \equiv \frac{m_0}{ M_\mathrm{tot} } = \frac{M_r(\xi)}{M_\mathrm{tot}}</math>

<math>~=</math>

<math>~ \biggl(\frac{\xi}{\tilde\xi}\biggr)^3 \biggl(3 + \xi^2 \biggr)^{-3/2} \biggl(3 + {\tilde\xi}^2 \biggr)^{3/2} </math>

 

<math>~=</math>

<math>~ \biggl[ \frac{( 3+\tilde\xi^2)}{ {\tilde\xi}^2} \biggr]^{3 / 2}\biggl[ \frac{( 3+\xi^2)}{ {\xi}^2} \biggr]^{- 3 / 2} \, ,</math>

<math>~r_\xi \equiv \frac{r_0}{R_\mathrm{norm}} = \biggl(\frac{\xi}{\tilde\xi} \biggr) \frac{R_\mathrm{eq}}{R_\mathrm{norm}}</math>

<math>~=</math>

<math>~\xi \biggl\{ \biggl[ \frac{4\pi}{2^5\cdot 3}\biggr]^{1/2} \tilde\xi^{-6} \biggl( 1+\frac{\tilde\xi^2}{3} \biggr)^{3}\biggr\} </math>

 

<math>~=</math>

<math>~ \biggl[ \frac{\pi}{2^3\cdot 3^7}\biggr]^{1/2} \biggl[ \frac{( 3+\tilde\xi^2)}{ {\tilde\xi}^2} \biggr]^{3} \xi \, . </math>

And we are in the fortunate situation of being able to eliminate <math>~\xi</math> to obtain the direct relation,

<math>~ r_\xi (m_\xi) </math>

<math>~=</math>

<math>~\tilde{r}_\mathrm{edge} \biggl[\frac{3^2m_\xi^{2/3}}{\tilde{C} - 3 m_\xi^{2/3}}\biggr]^{1/2} \, , </math>

where,

<math>~\tilde{C}</math>

<math>~\equiv</math>

<math>~ \frac{3^2}{\tilde\xi^2}\biggl( 1 + \frac{\tilde\xi^2}{3} \biggr) = 3 \biggl[ \frac{( 3+\tilde\xi^2)}{ {\tilde\xi}^2} \biggr] \, , </math>

<math>~\tilde{r}_\mathrm{edge}</math>

<math>~\equiv</math>

<math>~\biggl[ \frac{\pi}{2^3\cdot 3}\biggr]^{1/2} {\tilde\xi}^{-6} \biggl(1+\frac{\tilde\xi^2}{3}\biggr)^3 = \biggl[ \frac{\pi}{2^3\cdot 3^7}\biggr]^{1 / 2} \biggl[ \frac{\tilde{C}}{ 3} \biggr]^{3} \, . </math>

If we furthermore define,

<math>m_* \equiv \frac{3}{\tilde{C}} \cdot m_\xi^{2 / 3} \, ,</math>

then,

<math>~ r_\xi (m_*) </math>

<math>~=</math>

<math>~3^{1 / 2} \tilde{r}_\mathrm{edge} \biggl[\frac{m_*}{1-m_*}\biggr]^{1/2} \, . </math>

Hence,

<math>~ \frac{dr_0}{R_\mathrm{norm}} = dr_\xi </math>

<math>~=</math>

<math>~3^{1 / 2} \tilde{r}_\mathrm{edge} \biggl\{ \frac{1}{2} (1-m_*)^{- 1 / 2} m_*^{-1 / 2} + \frac{1}{2}m_*^{1 / 2}(1-m_*)^{-3 / 2} \biggr\} dm_* </math>

 

<math>~=</math>

<math>~ \biggl( \frac{3^{1 / 2}}{2} \biggr) \tilde{r}_\mathrm{edge} m_*^{-1 / 2} (1-m_*)^{-3 / 2} dm_* </math>

<math>\Rightarrow ~~~ R_\mathrm{norm} \cdot \frac{d}{dr_0} </math>

<math>~=</math>

<math>~ \frac{1}{ \tilde{r}_\mathrm{edge}} \biggl( \frac{2}{3^{1 / 2}} \biggr) m_*^{1 / 2} (1-m_*)^{3 / 2} \frac{d}{dm_*} \, . </math>

We therefore also have,

<math>~ R^2_\mathrm{norm} \cdot \frac{d^2}{dr_0^2} </math>

<math>~=</math>

<math>~ \frac{1}{ {\tilde{r}}^2_\mathrm{edge}} \biggl( \frac{2^2}{3} \biggr) m_*^{1 / 2} (1-m_*)^{3 / 2} \frac{d}{dm_*}\biggl[ m_*^{1 / 2} (1-m_*)^{3 / 2} \frac{d}{dm_*}\biggr] </math>

 

<math>~=</math>

<math>~ \frac{1}{ {\tilde{r}}^2_\mathrm{edge}} \biggl( \frac{2^2}{3} \biggr) m_*^{1 / 2} (1-m_*)^{3 / 2} \biggl\{ \biggl[ m_*^{1 / 2} (1-m_*)^{3 / 2} \frac{d^2}{dm_*^2}\biggr] + \biggl[ \frac{1}{2} m_*^{-1 / 2} (1-m_*)^{3 / 2} + \frac{3}{2}m_*^{1 / 2} (1-m_*)^{1 / 2}\biggr] \frac{d}{dm_*} \biggr\} </math>

 

<math>~=</math>

<math>~ \frac{1}{ {\tilde{r}}^2_\mathrm{edge}} \biggl( \frac{2}{3} \biggr) \biggl\{ \biggl[ 2m_* (1-m_*)^{3} \frac{d^2}{dm_*^2}\biggr] + \biggl[ (1-m_*)^{3 } + 3m_* (1-m_*)^{2}\biggr] \frac{d}{dm_*} \biggr\} </math>

 

<math>~=</math>

<math>~ \frac{1}{ {\tilde{r}}^2_\mathrm{edge}} \biggl( \frac{2}{3} \biggr) \biggl\{ 2m_* (1-m_*)^{3} \frac{d^2}{dm_*^2} + (1-m_*)^{2} ( 1 + 2m_* ) \frac{d}{dm_*} \biggr\} \, . </math>

Related Discussions

  • In an accompanying Chapter within our "Ramblings" Appendix, we have played with the adiabatic wave equation for polytropes, examining its form when the primary perturbation variable is an enthalpy-like quantity, rather than the radial displacement of a spherical mass shell. This was done in an effort to mimic the approach that has been taken in studies of the stability of Papaloizou-Pringle tori.


Whitworth's (1981) Isothermal Free-Energy Surface

© 2014 - 2021 by Joel E. Tohline
|   H_Book Home   |   YouTube   |
Appendices: | Equations | Variables | References | Ramblings | Images | myphys.lsu | ADS |
Recommended citation:   Tohline, Joel E. (2021), The Structure, Stability, & Dynamics of Self-Gravitating Fluids, a (MediaWiki-based) Vistrails.org publication, https://www.vistrails.org/index.php/User:Tohline/citation