Difference between revisions of "User:Tohline/SSC/FreeEnergy/Equilibrium Sequence Instabilities"

From VistrailsWiki
Jump to navigation Jump to search
 
(46 intermediate revisions by the same user not shown)
Line 2: Line 2:


=Instabilities Associated with Equilibrium Sequence Turning Points=
=Instabilities Associated with Equilibrium Sequence Turning Points=
Detailed derivations and discussions that underpin this chapter can be found in [[User:Tohline/Appendix/Ramblings/Turning_Points#Turning_Points|a chapter of our ''Ramblings Appendix'']].


{{LSU_HBook_header}}
{{LSU_HBook_header}}
==Statement of the Problem==
We can construct detailed force-balance (DFB) models of spherically symmetric, ''isolated'' polytropes over the entire range of polytropic indexes:  <math>~\infty \ge n \ge 0</math>.  Given that, <math>~\gamma = (n+1)/n</math>, this corresponds to the range of adiabatic exponents, <math>~1 \le \gamma \le \infty</math>.  These configurations are ''known'' to be dynamically stable if <math>~n < 3</math>; that is, if <math>~\gamma > 4/3</math>.  How do we know the answer to this stability question?
*  An ''analytic'' free-energy analysis tells us that <math>~\partial^2 \mathfrak{G}/\partial R^2 > 0</math> (i.e., the system is dynamically unstable) for models having polytropic indexes, <math>~n > 3</math>;
*  Linear stability analyses, performed numerically, tell us that the square of the system's fundamental-mode eigenfrequency is negative for models having <math>~\gamma < 4/3</math>.
{{LSU_WorkInProgress}}
==Example Equilibrium Sequences==


==Introduction==
Consider a binary star system (or a planet/satellite system) in which both components are uniform in density, but in which one of the components &#8212; the ''secondary'' of mass <math>~M^'</math> &#8212; is much more compact <math>~(R^' \ll R)</math> and perhaps, also, much more massive than the other component &#8212; the ''primary'' of mass <math>~M</math>.  The tidal stresses exerted by the secondary on the primary will deform the primary into a nonspherical shape that, to a reasonably high degree of satisfaction, can be described as an ellipsoid having semi-axes <math>~a_1 > a_2 > a_3</math> and a volume-preserving "radius," <math>~R \equiv (a_1 a_2 a_3)^{1 / 3} = 3M/(4\pi)</math>. 
 
 
 
==Equation of State Considerations==


Spherically symmetric, self-gravitating, equilibrium configurations can be constructed from gases exhibiting a wide variety of degrees of compressibility.  When examining how the internal structure of such configurations varies with compressibility, or when examining the relative stability of such structures, it can be instructive to construct models using a [[User:Tohline/SR#Time-Independent_Problems|polytropic equation of state]],  
Spherically symmetric, self-gravitating, equilibrium configurations can be constructed from gases exhibiting a wide variety of degrees of compressibility.  When examining how the internal structure of such configurations varies with compressibility, or when examining the relative stability of such structures, it can be instructive to construct models using a [[User:Tohline/SR#Time-Independent_Problems|polytropic equation of state]],  
Line 267: Line 282:
</math>
</math>
</div>
</div>
==Analysis by Yabushita (1975)==
It appears as though the first analysis that asked the same set of questions we have asked regarding the type of stability that is associated with turning points is the one published by [http://adsabs.harvard.edu/abs/1975MNRAS.172..441Y S. Yabushita (1975)] and titled, ''On the Structure and Stability of a Polytrope with an Isothermal Core''.
From the article's summary (abstract) alone &#8212; immediately following &#8212; we note the following key points;
* Yabushita (1975) builds an equilibrium sequence for <math>~(n_c, n_e) = (\infty, \tfrac{3}{2})</math> bipolytropes and identifies a maximum-mass turning point along the sequence.
* A solution of the relevant LAWE shows that the "dynamical instability sets in precisely at the mass peak," if the adopted adiabatic index is the same as the <math>~\gamma = d\ln\rho/d\ln r</math> calculated by the equation(s) of state governing the unperturbed state.
<div align="center">
[[File:Yabushita1975Summary.png|Summary (Abstract) from Yabushita (1975)]]
</div>
Then we see, from the article's introductory paragraphs that Yabushita &hellip;
* Understands that it is useful to analyze stability from both a free-energy (virial theorem) standpoint and a linear stability (radial oscillations) analysis &#8212; see the following reproduction of the first introductory paragraph.
<div align="center">
[[File:Yabushita1975Intro1.png|700px|Introductory paragraph from Yabushita (1975)]]
</div>
* Understands that a strong analogy can be drawn between the behavior of pressure-truncated and bipolytropic sequences &#8212;&nbsp; "<font color="darkgreen">This will enable one to see the effect of an envelope on the stability of isothermal gas spheres ([http://adsabs.harvard.edu/abs/1968MNRAS.140..109Y Yabushita 1968]) which otherwise will extend to infinity.</font>"
It might be worth looking at the following publications:
* [http://adsabs.harvard.edu/abs/1967AnAp...30..975G M. Gabriel &amp P. Ledoux (1967)]:  Yabushita says,
* [ S. Chandrasekhar (1972) ''General Relativity'']:  Yabushita says, <font color="darkgreen">It is Chandrasekhar (1972) who first showed the analogy between neutron star models and a gaseous sphere with an isothermal core and an envelope with constant density.</font>


==Close Binary Stars==
==Close Binary Stars==
<table border="1" cellpadding="5" align="center">
<tr>
  <td align="center">
Extracted from p. 162 of [http://rsta.royalsocietypublishing.org/content/206/402-412/161 G. H. Darwin (1906)]
  </td>
</tr>
<tr>
  <td align="center">
[[File:DarwinPreface.png|700px|Darwin (1906) Preface]]
  </td>
</tr>
</table>
===Simplistic Illustrative Model===
====Using Our Adopted Notation====
Consider the simple model of two spherical stars in circular orbit about one another, as depicted here on the right.  In addition to the physical parameters explicitly labeled in this diagram, we adopt the following variable notation: 
<div align="center">
<table border="0" cellpadding="5" align="center" width="100%">
<tr><td align="left">
* The total system mass is,
<div align="center">
<math>~M_\mathrm{tot} \equiv M + M^' \, ;</math>
</div>
* The ratio of the primary to secondary mass is,
<div align="center">
<math>~\lambda \equiv \frac{M}{M^'} \, ;</math>
</div>
* And the separation between the two centers is,
<div align="center">
<math>~d \equiv r_\mathrm{cm} + r^'_\mathrm{cm} \, .</math>
</div>
</td>
<td align="center">
[[File:BinarySimpleModel02.png|350px|Simple Binary Model]]
</td>
</tr>
</table>
</div>
For a circular orbit, the angular velocity is related to the the system mass and separation via the Kepler relation,
<div align="center">
<math>~\omega^2 d^3 = GM_\mathrm{tot} \, ,</math>
</div>
and the distances, <math>~r_\mathrm{cm}</math> and <math>~r^'_\mathrm{cm}</math>, between the center of each star and the center of mass (cm) of the system must be related to one another via the expression,
<div align="center">
<table border="0" cellpadding="5" align="center">
<tr>
  <td align="right">
<math>~\frac{r^'_\mathrm{cm}}{r_\mathrm{cm}} </math>
  </td>
  <td align="center">
<math>~=</math>
  </td>
  <td align="left">
<math>~\frac{M}{M^'} = \lambda \, .</math>
  </td>
</tr>
</table>
</div>
Note that the following relations also hold:
<div align="center">
<table border="0" cellpadding="5" align="center">
<tr>
  <td align="right">
<math>~M = M_\mathrm{tot} \biggl( \frac{\lambda}{1+\lambda}\biggr)</math>
  </td>
  <td align="center">
&nbsp; &nbsp; &nbsp; and &nbsp; &nbsp; &nbsp;
  </td>
  <td align="left">
<math>~M^' = M_\mathrm{tot} \biggl( \frac{1}{1+\lambda}\biggr)</math>
  </td>
</tr>
<tr>
  <td align="right">
<math>~r_\mathrm{cm} = d \biggl( \frac{1}{1+\lambda}\biggr) \, ;</math>
  </td>
  <td align="center">
&nbsp; &nbsp; &nbsp; and &nbsp; &nbsp; &nbsp;
  </td>
  <td align="left">
<math>~r^'_\mathrm{cm} = d \biggl( \frac{\lambda}{1+\lambda}\biggr) \, .</math>
  </td>
</tr>
</table>
</div>
Hence, the orbital angular momentum is,
<div align="center">
<table border="0" cellpadding="5" align="center">
<tr>
  <td align="right">
<math>~L_\mathrm{orb}</math>
  </td>
  <td align="center">
<math>~=</math>
  </td>
  <td align="left">
<math>~ [M r^2_\mathrm{cm}  + M^' (r^'_\mathrm{cm})^2]\omega </math>
  </td>
</tr>
<tr>
  <td align="right">
&nbsp;
  </td>
  <td align="center">
<math>~=</math>
  </td>
  <td align="left">
<math>~ M_\mathrm{tot} d^2 \biggl[\biggl( \frac{\lambda}{1+\lambda}\biggr) \biggl( \frac{1}{1+\lambda}\biggr)^2  + \biggl( \frac{1}{1+\lambda}\biggr) \biggl( \frac{\lambda}{1+\lambda}\biggr)^2 \biggr] \biggl[\frac{GM_\mathrm{tot}}{d^3}\biggr]^{1 / 2} </math>
  </td>
</tr>
<tr>
  <td align="right">
&nbsp;
  </td>
  <td align="center">
<math>~=</math>
  </td>
  <td align="left">
<math>~ (G M_\mathrm{tot}^3 d)^{1 / 2} \biggl[\frac{\lambda}{(1+\lambda)^2}  \biggr] \, .</math>
  </td>
</tr>
</table>
</div>
Assuming that both stars are rotating synchronously with the orbit, their respective spin angular momenta are,
<div align="center">
<table border="0" cellpadding="5" align="center">
<tr>
  <td align="right">
<math>~L_M = I_M \omega</math>
  </td>
  <td align="center">
<math>~=</math>
  </td>
  <td align="left">
<math>~\frac{2}{5}MR^2 \omega</math>
  </td>
</tr>
<tr>
  <td align="right">
&nbsp;
  </td>
  <td align="center">
<math>~=</math>
  </td>
  <td align="left">
<math>~\frac{2}{5}M_\mathrm{tot} \biggl(\frac{\lambda}{1+\lambda}\biggr) R^2 \biggl[ \frac{G M_\mathrm{tot}}{d^3} \biggr]^{1 / 2}</math>
  </td>
</tr>
<tr>
  <td align="right">
&nbsp;
  </td>
  <td align="center">
<math>~=</math>
  </td>
  <td align="left">
<math>~\frac{2}{5}(GM_\mathrm{tot}^3 d)^{1 / 2} \biggl(\frac{\lambda}{1+\lambda}\biggr) \biggl( \frac{R}{d}\biggr)^2 \, ,</math>
  </td>
</tr>
<tr>
  <td align="right">
<math>~L_{M^'} = I_{M^'} \omega</math>
  </td>
  <td align="center">
<math>~=</math>
  </td>
  <td align="left">
<math>~\frac{2}{5}{M^'}(R^')^2 \omega</math>
  </td>
</tr>
<tr>
  <td align="right">
&nbsp;
  </td>
  <td align="center">
<math>~=</math>
  </td>
  <td align="left">
<math>~\frac{2}{5}M_\mathrm{tot} \biggl(\frac{1}{1+\lambda}\biggr) (R^')^2 \biggl[ \frac{G M_\mathrm{tot}}{d^3} \biggr]^{1 / 2}</math>
  </td>
</tr>
<tr>
  <td align="right">
&nbsp;
  </td>
  <td align="center">
<math>~=</math>
  </td>
  <td align="left">
<math>~\frac{2}{5}(GM_\mathrm{tot}^3 d)^{1 / 2} \biggl(\frac{1}{1+\lambda}\biggr) \biggl( \frac{R^'}{d}\biggr)^2 \, .</math>
  </td>
</tr>
</table>
</div>
<span id="SphericalLtot">Hence, the total angular momentum of the system is,</span>
<div align="center">
<table border="0" cellpadding="5" align="center">
<tr>
  <td align="right">
<math>~L_\mathrm{tot} = L_\mathrm{orb} + L_M + L_{M^'}</math>
  </td>
  <td align="center">
<math>~=</math>
  </td>
  <td align="left">
<math>~
(G M_\mathrm{tot}^3 d)^{1 / 2} \biggl[\frac{\lambda}{(1+\lambda)^2}  \biggr]
+ \frac{2}{5}(GM_\mathrm{tot}^3 d)^{1 / 2} \biggl(\frac{\lambda}{1+\lambda}\biggr) \biggl( \frac{R}{d}\biggr)^2
</math>
  </td>
</tr>
<tr>
  <td align="right">
&nbsp;
  </td>
  <td align="center">
&nbsp;
  </td>
  <td align="left">
<math>~
+ \frac{2}{5}(GM_\mathrm{tot}^3 d)^{1 / 2} \biggl(\frac{1}{1+\lambda}\biggr) \biggl( \frac{R^'}{d}\biggr)^2
</math>
  </td>
</tr>
<tr>
  <td align="right">
&nbsp;
  </td>
  <td align="center">
<math>~=</math>
  </td>
  <td align="left">
<math>~
(G M_\mathrm{tot}^3 R)^{1 / 2} \biggl\{ \biggl[\frac{\lambda}{(1+\lambda)^2}  \biggr] \biggl( \frac{d}{R}\biggr)^{1 / 2}
+ \frac{2}{5} \biggl(\frac{1}{1+\lambda}\biggr)\biggl[ \lambda
+  \biggl( \frac{R^'}{R}\biggr)^{2} \biggr] \biggl( \frac{d}{R}\biggr)^{-3/2}
\biggr\}
</math>
  </td>
</tr>
</table>
</div>
If we assume that the two stars have the same (uniform) densities, <math>~\rho</math>, then, following Darwin (1906; see immediately below), the two stellar radii can be related to the mass ratio, <math>~\lambda</math> via the expressions,
<div align="center">
<table border="0" cellpadding="5" align="center">
<tr>
  <td align="right">
<math>~R = a\biggl( \frac{\lambda}{1+\lambda}\biggr) \, ,</math>
  </td>
  <td align="center">
&nbsp; &nbsp; &nbsp; and &nbsp; &nbsp; &nbsp;
  </td>
  <td align="left">
<math>~R^' = a\biggl( \frac{1}{1+\lambda}\biggr) \, ,</math>
  </td>
</tr>
</table>
</div>
where, the characteristic length scale is,
<div align="center">
<math>a \equiv \biggl(\frac{3M_\mathrm{tot}}{4\pi \rho}\biggr)^{1 / 3} \, .</math>
</div>
Replacing <math>~R</math> and <math>~R^'</math> by these expressions in our equation for <math>~L_\mathrm{tot}</math> results in the simplistic/illustrative expression for <math>~L_1</math> derived by Darwin (1906) and presented in the [[#DarwinL1L2|boxed-in image, below]].  Darwin's expression for <math>~L_2</math> is obtained by using the same expression for <math>~R</math> but treating the secondary as a point mass, that is, setting <math>~R^' = 0</math>.
====Darwin's (1906) Equivalent Illustration====
From Pt. I, &sect;1 (p. 164) of  [http://rsta.royalsocietypublishing.org/content/206/402-412/161 G. H. Darwin (1906)] &#8212; ''verbatum'' text in green:  <font color="green">
It will be useful to make a rough preliminary investigation of the regions in which we shall have to look for cases of limiting stability in the two problems.  For this purpose I consider</font> [1] <font color="green">the case of two spheres as the analogue of</font> [Darwin's] <font color="green">problem of the figure of equilibrium, and </font> [2] <font color="green">the case of a sphere and a particle as the analogue of Roche's problem. 
&hellip; let the mass of the whole system be <math>~M_\mathrm{tot} = \tfrac{4}{3}\pi \rho a^3</math>; let the masses of the two spheres be
</font>
<div align="center">
<table border="0" cellpadding="5" align="center">
<tr>
  <td align="right">
<math>~M = M_\mathrm{tot} \biggl[\frac{\lambda}{1+\lambda}\biggr] </math>
  </td>
  <td align="center">
&nbsp; &nbsp; &nbsp; and &nbsp; &nbsp; &nbsp;
  </td>
  <td align="left">
<math>~M^' = M_\mathrm{tot} \biggl[\frac{1}{1+\lambda}\biggr] </math>
  </td>
  <td align="center">
&nbsp; &nbsp; &nbsp; <math>~\Rightarrow</math> &nbsp; &nbsp; &nbsp;
  </td>
  <td align="left">
<math>~\lambda = \frac{M}{M^'}</math>
  </td>
</tr>
</table>
</div>
<font color="green">or for Roche's problem let the latter <math>~(M^')</math> be the mass of the particle.</font>  Assuming that both spheres have the same characteristic density, <math>~\rho</math>, that has been used to specify the total mass, we furthermore know that the radius of the first sphere is,
<div align="center">
<table border="0" cellpadding="5" align="center">
<tr>
  <td align="right">
<math>~a_M</math>
  </td>
  <td align="center">
<math>~=</math>
  </td>
  <td align="left">
<math>~\biggl(\frac{M}{\tfrac{4}{3}\pi \rho}\biggr)^{1 / 3} = a \biggl(\frac{\lambda}{1+\lambda}\biggr)^{1 / 3} \, ,</math>
  </td>
</tr>
</table>
</div>
and (for the Darwin problem) the radius of the second sphere is,
<div align="center">
<table border="0" cellpadding="5" align="center">
<tr>
  <td align="right">
<math>~a_{M^'}</math>
  </td>
  <td align="center">
<math>~=</math>
  </td>
  <td align="left">
<math>~\biggl(\frac{M^'}{\tfrac{4}{3}\pi \rho}\biggr)^{1 / 3} = a\biggl(\frac{1 }{1+\lambda}\biggr)^{1 / 3} \, .</math>
  </td>
</tr>
</table>
</div>
<font color="green">Let <math>~r</math> be the distance from the centre of one sphere to that of the other, or to the particle, as the case may be; and <math>~\omega</math> the orbital angular velocity,</font> where
<div align="center">
<table border="0" cellpadding="5" align="center">
<tr>
  <td align="right">
<math>~\omega^2 r^3</math>
  </td>
  <td align="center">
<math>~=</math>
  </td>
  <td align="left">
<math>~GM_\mathrm{tot} \, .</math>
  </td>
</tr>
</table>
</div>
<font color="green">The centre of inertia of the two masses is distant <math>~r/(1+\lambda)</math> and <math>~\lambda r/(1+\lambda)</math> from their respective centres, and we easily find the orbital momentum to be
</font>
<div align="center">
<table border="0" cellpadding="5" align="center">
<tr>
  <td align="right">
<math>~L_\mathrm{orb} </math>
  </td>
  <td align="center">
<math>~=</math>
  </td>
  <td align="left">
<math>~M \biggl(\frac{r}{1+\lambda}\biggr)^2\omega + M^' \biggl(\frac{\lambda r}{1+\lambda}\biggr)^2\omega</math>
  </td>
</tr>
<tr>
  <td align="right">
&nbsp;
  </td>
  <td align="center">
<math>~=</math>
  </td>
  <td align="left">
<math>~M_\mathrm{tot} \biggl[ \biggl(\frac{\lambda}{1+\lambda}\biggr)\biggl(\frac{1}{1+\lambda}\biggr)^2\omega
+ \biggl(\frac{1}{1+\lambda}\biggr) \biggl(\frac{\lambda }{1+\lambda}\biggr)^2 \biggr] r^2 \omega</math>
  </td>
</tr>
<tr>
  <td align="right">
&nbsp;
  </td>
  <td align="center">
<math>~=</math>
  </td>
  <td align="left">
<math>~M_\mathrm{tot}  \biggl[ \frac{\lambda}{(1+\lambda)^2} \biggr] r^2\omega \, .</math>
  </td>
</tr>
</table>
</div>
<font color="green">In both problems the rotational momentum of the first sphere is</font>
<div align="center">
<table border="0" cellpadding="5" align="center">
<tr>
  <td align="right">
<math>~L_\mathrm{M} = \frac{2}{5} Ma_M^2 \omega</math>
  </td>
  <td align="center">
<math>~=</math>
  </td>
  <td align="left">
<math>~
\frac{2}{5} M_\mathrm{tot}\biggl( \frac{\lambda}{1+\lambda} \biggr) \biggl(\frac{\lambda}{1+\lambda}\biggr)^{2 / 3}a^2 \omega
=\frac{2}{5} M_\mathrm{tot} \biggl(\frac{\lambda}{1+\lambda}\biggr)^{5 / 3}a^2 \omega \, .
</math>
  </td>
</tr>
</table>
</div>
<font color="green">In the</font> [Darwin] <font color="green">problem the rotational momentum of the second sphere is
</font>
<div align="center">
<table border="0" cellpadding="5" align="center">
<tr>
  <td align="right">
<math>~L_\mathrm{M^'} = \frac{2}{5} M^' a_{M^'}^2 \omega</math>
  </td>
  <td align="center">
<math>~=</math>
  </td>
  <td align="left">
<math>~
\frac{2}{5} M_\mathrm{tot}\biggl( \frac{1}{1+\lambda} \biggr) \biggl(\frac{1}{1+\lambda}\biggr)^{2 / 3}a^2 \omega
=\frac{2}{5} M_\mathrm{tot} \biggl(\frac{1}{1+\lambda}\biggr)^{5 / 3}a^2 \omega \, ,
</math>
  </td>
</tr>
</table>
</div>
<font color="green">and in the</font> [Roche] <font color="green">problem it is nil.
If, then, we write <math>~L_1</math> for the total angular momentum of the two spheres, and <math>~L_2</math> for that of the sphere and particle, we have
</font>
<div align="center">
<table border="0" cellpadding="5" align="center">
<tr>
  <td align="right">
<math>~L_1 </math>
  </td>
  <td align="center">
<math>~=</math>
  </td>
  <td align="left">
<math>~
L_\mathrm{orb} + L_M + L_{M^'} 
</math>
</td>
</tr>
<tr>
  <td align="right">
&nbsp;
  </td>
  <td align="center">
<math>~=</math>
  </td>
  <td align="left">
<math>~
M_\mathrm{tot}  \biggl[ \frac{\lambda}{(1+\lambda)^2} \biggr] r^2\omega
+ \frac{2}{5} M_\mathrm{tot} \biggl(\frac{\lambda}{1+\lambda}\biggr)^{5 / 3}a^2 \omega
+ \frac{2}{5} M_\mathrm{tot} \biggl(\frac{1}{1+\lambda}\biggr)^{5 / 3}a^2 \omega</math>
  </td>
</tr>
<tr>
  <td align="right">
&nbsp;
  </td>
  <td align="center">
<math>~=</math>
  </td>
  <td align="left">
<math>~
M_\mathrm{tot} a^2 \omega \biggl[ \frac{\lambda r^2}{(1+\lambda)^2a^2}
+ \frac{2}{5} \frac{1+ \lambda^{5/3}}{(1+\lambda)^{5 / 3}} \biggr] \, ,
</math>
  </td>
</tr>
<tr>
  <td align="right">
<math>~L_2 </math>
  </td>
  <td align="center">
<math>~=</math>
  </td>
  <td align="left">
<math>~
L_\mathrm{orb} + L_M 
</math>
</td>
</tr>
<tr>
  <td align="right">
&nbsp;
  </td>
  <td align="center">
<math>~=</math>
  </td>
  <td align="left">
<math>~
M_\mathrm{tot} a^2 \omega \biggl[ \frac{\lambda r^2}{(1+\lambda)^2a^2}
+ \frac{2}{5} \frac{\lambda^{5/3}}{(1+\lambda)^{5 / 3}} \biggr] \, .
</math>
  </td>
</tr>
</table>
</div>
<div align="center">
<table border="1" cellpadding="5" align="center" width="85%">
<tr>
  <td align="left">
For comparison, in the context of the LRS93b discussion of ''Compressible Roche Ellipsoids'', the total angular momentum is,
<table border="0" cellpadding="5" align="center">
<tr>
  <td align="right">
<math>~J</math>
  </td>
  <td align="center">
<math>~=</math>
  </td>
  <td align="left">
<math>~\biggl[\frac{Mr^2}{(1+\lambda)} + I \biggr] \Omega \, ,</math>
  </td>
</tr>
</table>
where (see their equation 4.8),
<table border="0" cellpadding="5" align="center">
<tr>
  <td align="right">
<math>~I</math>
  </td>
  <td align="center">
<math>~=</math>
  </td>
  <td align="left">
<math>~\frac{1}{5} \kappa_n (a_1^2 + a_2^2)M \, ,</math>
  </td>
</tr>
</table>
and, for incompressible configurations, <math>~\kappa_{n=0} = 1</math>.  This gives,
<table border="0" cellpadding="5" align="center">
<tr>
  <td align="right">
<math>~J</math>
  </td>
  <td align="center">
<math>~=</math>
  </td>
  <td align="left">
<math>~M_\mathrm{tot} \biggl( \frac{\lambda}{1+\lambda}\biggr) a_1^2 \Omega \biggl[\frac{r^2}{(1+\lambda)a_1^2} + \frac{1}{5}\biggl(1 + \frac{a_2^2}{a_1^2}\biggr)  \biggr]  \, .</math>
  </td>
</tr>
</table>
  </td>
</tr>
</table>
</div>
<font color="green">On substituting for <math>~\omega</math> its value in terms of <math>~r</math>, these expressions become</font>
<div align="center">
<table border="0" cellpadding="5" align="center">
<tr>
  <td align="right">
<math>~L_1 </math>
  </td>
  <td align="center">
<math>~=</math>
  </td>
  <td align="left">
<math>~(GM_\mathrm{tot}^3 a)^{1 / 2} \biggl( \frac{a}{r} \biggr)^{3/2}  \biggl[
\frac{2}{5} \frac{1+ \lambda^{5/3}}{(1+\lambda)^{5 / 3}} + \frac{\lambda r^2}{(1+\lambda)^2a^2} \biggr]
</math>
  </td>
</tr>
<tr>
  <td align="right">
&nbsp;
  </td>
  <td align="center">
<math>~=</math>
  </td>
  <td align="left">
<math>~(GM_\mathrm{tot}^3 a)^{1 / 2} \frac{1}{(1+\lambda)^2} \biggl[
\frac{2}{5} (1+ \lambda^{5/3}) (1+\lambda)^{1 / 3}\biggl( \frac{a}{r} \biggr)^{3/2} + \lambda \biggl( \frac{r}{a} \biggr)^{1 / 2}\biggr] \, ,
</math>
  </td>
</tr>
<tr>
  <td align="right">
<math>~L_2 </math>
  </td>
  <td align="center">
<math>~=</math>
  </td>
  <td align="left">
<math>~
(GM_\mathrm{tot}^3 a)^{1 / 2} \biggl( \frac{a}{r} \biggr)^{3/2}  \biggl[
\frac{2}{5} \frac{\lambda^{5/3}}{(1+\lambda)^{5 / 3}} + \frac{\lambda r^2}{(1+\lambda)^2a^2} \biggr]
</math>
  </td>
</tr>
<tr>
  <td align="right">
&nbsp;
  </td>
  <td align="center">
<math>~=</math>
  </td>
  <td align="left">
<math>~(GM_\mathrm{tot}^3 a)^{1 / 2} \frac{1}{(1+\lambda)^2} \biggl[
\frac{2}{5} \lambda^{5/3} (1+\lambda)^{1 / 3}\biggl( \frac{a}{r} \biggr)^{3/2} + \lambda \biggl( \frac{r}{a} \biggr)^{1 / 2} \biggr] \, .
</math>
  </td>
</tr>
</table>
</div>
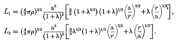
<span id="DarwinL1L2">As is shown in the following boxed-in image,</span> (after setting <math>~G = 1</math>) this matches the pair of equations that appears immediately following equation (1) in [http://rsta.royalsocietypublishing.org/content/206/402-412/161 G. H. Darwin (1906)].
<table border="1" cellpadding="5" align="center">
<tr>
  <td align="center">
Equations extracted without modification from [http://rsta.royalsocietypublishing.org/content/206/402-412/161 G. H. Darwin (1906)]
  </td>
</tr>
<tr>
  <td align="center">
[[File:Darwin1906Eq1b.png|Darwin (1906) Eq. 1b]]
  </td>
</tr>
</table>
In the following figure we have plotted, for both problems, how the total angular momentum varies  with orbital separation.  In order to facilitate a direct comparison with Figure 1 from LRS, in place of the dimensionless separation <math>~r/a</math> we plot along the abscissa the quantity, <math>~r_\mathrm{LRS}/R</math>, where, <math>~r_\mathrm{LRS}</math> is the radius of the circular orbit and <math>~R</math> is the radius of the primary star; that is,
<div align="center">
<table border="0" cellpadding="5" align="center">
<tr>
  <td align="right">
<math>~r_\mathrm{LRS} = \tfrac{1}{2}r</math>
  </td>
  <td align="center">
&nbsp; &nbsp; &nbsp; and &nbsp; &nbsp; &nbsp;
  </td>
  <td align="left">
<math>~R = a_M</math>
  </td>
  <td align="center">
&nbsp; &nbsp; &nbsp; <math>~\Rightarrow</math> &nbsp; &nbsp; &nbsp;
  </td>
  <td align="left">
<math>~\frac{r_\mathrm{LRS}}{R} = \frac{1}{2} \biggl(\frac{1+\lambda}{\lambda}\biggr)^{1 / 3} \frac{r}{a} \, .</math>
  </td>
</tr>
<tr>
  <td align="right">
<math>~r_\mathrm{LRS} = \tfrac{1}{2}r</math>
  </td>
  <td align="center">
&nbsp; &nbsp; &nbsp; and &nbsp; &nbsp; &nbsp;
  </td>
  <td align="left">
<math>~R = a_M</math>
  </td>
  <td align="center">
&nbsp; &nbsp; &nbsp; <math>~\Rightarrow</math> &nbsp; &nbsp; &nbsp;
  </td>
  <td align="left">
<math>~\frac{r}{a} = 2 \biggl(\frac{\lambda}{1+\lambda}\biggr)^{1 / 3} \frac{r_\mathrm{LRS}}{R}  \, .</math>
  </td>
</tr>
</table>
</div>
Rewriting Darwin's pair of angular momentum expressions in terms of this preferred dimensionless separation, we have,
<div align="center">
<table border="0" cellpadding="5" align="center">
<tr>
  <td align="right">
<math>~L_1 </math>
  </td>
  <td align="center">
<math>~=</math>
  </td>
  <td align="left">
<math>~(GM_\mathrm{tot}^3 a)^{1 / 2} \frac{1}{(1+\lambda)^2} \biggl\{
\frac{2}{5} (1+ \lambda^{5/3}) (1+\lambda)^{1 / 3}\biggl[ 2 \biggl(\frac{\lambda}{1+\lambda}\biggr)^{1 / 3} \frac{r_\mathrm{LRS}}{R}  \biggr]^{-3/2}
+ \lambda \biggl[ 2 \biggl(\frac{\lambda}{1+\lambda}\biggr)^{1 / 3} \frac{r_\mathrm{LRS}}{R} \biggr]^{1 / 2}
\biggr\}
</math>
  </td>
</tr>
<tr>
  <td align="right">
&nbsp;
  </td>
  <td align="center">
<math>~=</math>
  </td>
  <td align="left">
<math>~(GM_\mathrm{tot}^3 a)^{1 / 2} \frac{1}{(1+\lambda)^2} \biggl\{
\biggl( \frac{1}{2\cdot 5^2} \biggr)^{1 / 2} (1+ \lambda^{5/3}) (1+\lambda)^{1 / 3} \biggl(\frac{1+\lambda}{\lambda}\biggr)^{1 / 2}  \biggl(  \frac{r_\mathrm{LRS}}{R}  \biggr)^{-3/2}
+ 2^{1 / 2}\lambda \biggl(\frac{\lambda}{1+\lambda}\biggr)^{1 / 6} \biggl( \frac{r_\mathrm{LRS}}{R} \biggr)^{1 / 2}
\biggr\} \, ,
</math>
  </td>
</tr>
<tr>
  <td align="right">
<math>~L_2 </math>
  </td>
  <td align="center">
<math>~=</math>
  </td>
  <td align="left">
<math>~(GM_\mathrm{tot}^3 a)^{1 / 2} \frac{1}{(1+\lambda)^2} \biggl\{
\frac{2}{5} \lambda^{5/3} (1+\lambda)^{1 / 3}\biggl[ 2 \biggl(\frac{\lambda}{1+\lambda}\biggr)^{1 / 3} \frac{r_\mathrm{LRS}}{R}  \biggr]^{-3/2}
+ \lambda \biggl[ 2 \biggl(\frac{\lambda}{1+\lambda}\biggr)^{1 / 3} \frac{r_\mathrm{LRS}}{R}  \biggr]^{1 / 2}
\biggr\}
</math>
  </td>
</tr>
<tr>
  <td align="right">
&nbsp;
  </td>
  <td align="center">
<math>~=</math>
  </td>
  <td align="left">
<math>~(GM_\mathrm{tot}^3 a)^{1 / 2} \frac{1}{(1+\lambda)^2} \biggl\{
\biggl( \frac{1}{2\cdot 5^2} \biggr)^{1 / 2} \lambda^{5/3} (1+\lambda)^{1 / 3} \biggl(\frac{1+\lambda}{\lambda}\biggr)^{1 / 2}  \biggl(  \frac{r_\mathrm{LRS}}{R}  \biggr)^{-3/2}
+ 2^{1 / 2}\lambda \biggl(\frac{\lambda}{1+\lambda}\biggr)^{1 / 6} \biggl( \frac{r_\mathrm{LRS}}{R} \biggr)^{1 / 2}
\biggr\} \, .
</math>
  </td>
</tr>
</table>
</div>
Note that the two binary components come into contact when, for the Darwin problem,
<div align="center">
<table border="0" cellpadding="5" align="center">
<tr>
  <td align="right">
<math>~a_M + a_{M^'} = r</math>
  </td>
  <td align="center">
&nbsp; &nbsp; &nbsp; <math>~\Rightarrow</math> &nbsp; &nbsp; &nbsp;
  </td>
  <td align="left">
<math>~\frac{r}{a} =
\frac{1 + \lambda^{1 / 3}}{(1+\lambda)^{1 / 3}}  \, ;
</math>
  </td>
</tr>
</table>
</div>
and, for the Roche problem,
<div align="center">
<table border="0" cellpadding="5" align="center">
<tr>
  <td align="right">
<math>~a_M = r</math>
  </td>
  <td align="center">
&nbsp; &nbsp; &nbsp; <math>~\Rightarrow</math> &nbsp; &nbsp; &nbsp;
  </td>
  <td align="left">
<math>~\frac{r}{a} =
\frac{\lambda^{1 / 3}}{(1+\lambda)^{1 / 3}}  \, .
</math>
  </td>
</tr>
</table>
</div>


===Setup===
===Setup===
Line 321: Line 1,185:


====Tassoul (1978)====
====Tassoul (1978)====
From pp. 449-450 of [<b>[[User:Tohline/Appendix/References#T78|<font color="red">T78</font>]]</b>] &#8212; ''verbatum'' text in green:  <font color="green">
From p. 449 of [<b>[[User:Tohline/Appendix/References#T78|<font color="red">T78</font>]]</b>] &#8212; ''verbatum'' text in green:  <font color="green">
Let the masses of the primary and the secondary be <math>~M</math> and <math>~M^'</math>, respectively; let the distance between their centers of mass be <math>~d</math>; and let the angular velocity of rotation about their common center of mass be <math>~\Omega</math>.  Next choose a system of reference in which the origin is at the center of mass of the primary; for convenience, the <math>~x_1-</math>axis points toward the center of mass of the secondary, and the <math>~x_3-</math>axis is parallel to the direction of <math>~\vec\Omega</math>.  Then, the equation of the rotation axis, which of course passes through the center of mass of the two bodies, is
Let the masses of the primary and the secondary be <math>~M</math> and <math>~M^'</math>, respectively; let the distance between their centers of mass be <math>~d</math>; and let the angular velocity of rotation about their common center of mass be <math>~\Omega</math>.  Next choose a system of reference in which the origin is at the center of mass of the primary; for convenience, the <math>~x_1-</math>axis points toward the center of mass of the secondary, and the <math>~x_3-</math>axis is parallel to the direction of <math>~\vec\Omega</math>.  Then, the equation of the rotation axis, which of course passes through the center of mass of the two bodies, is
</font>
</font>
Line 355: Line 1,219:
</table>
</table>
</div>
</div>
===Roche Ellipsoids===
====Jeans (1919)====
From &sect; 51 (p. 47) of  [http://adsabs.harvard.edu/abs/1919pcsd.book.....J J. H. Jeans (1919)] &#8212; ''verbatum'' text in green:  <font color="green">
The simplest problem occurs when the secondary may be treated as a rigid sphere;  this is the special problem dealt with by Roche.  As in &sect; 47 the tide-generating potential acting on the primary may be supposed to be
</font>
<div align="center">
<table border="0" cellpadding="5" align="center">
<tr>
  <td align="left">
<math>~\frac{M^'}{R} + \frac{M^'}{R^2} x + \frac{M^'}{R^3}(x^2 - \tfrac{1}{2}y^2 - \tfrac{1}{2}z^2) + \cdots </math>
  </td>
</tr>
</table>
</div>
<font color="green">We shall for the present be content to omit all terms beyond those written down.  The correction required by the neglect of these terms will be discussed later, and will be found to be so small that the results now to be obtained are hardly affected.</font>
<font color="green">On omitting these terms, and combining the two potentials &hellip; it appears that the primary may be supposed influenced by a statical field of potential
</font>
<div align="center">
<table border="0" cellpadding="5" align="center">
<tr>
  <td align="left">
<math>~\frac{M^'}{R} x\biggr(1 - \frac{\omega^2 R^3}{M + M^'}\biggr) + \frac{M^'}{R^3}(x^2 - \tfrac{1}{2}y^2 - \tfrac{1}{2}z^2)
+ \tfrac{1}{2}\omega^2(x^2 + y^2)      \, .</math>
  </td>
</tr>
</table>
</div>
<font color="green">The terms in <math>~x</math> may immediately be removed by supposing <math>~\omega</math> to have the appropriate value given by
</font>
<div align="center">
<table border="0" cellpadding="5" align="center">
<tr>
  <td align="right">
<math>~\omega^2</math>
  </td>
  <td align="center">
<math>~=</math>
  </td>
  <td align="left">
<math>~\frac{M+M^'}{R^3}</math>
  </td>
</tr>
</table>
</div>
<font color="green">and the condition for equilibrium is now seen to be that we shall have, at every point of the surface,
</font>
<div align="center">
<table border="0" cellpadding="5" align="center">
<tr>
  <td align="right">
<math>~V_b + \mu (x^2 - \tfrac{1}{2}y^2 - \tfrac{1}{2}z^2) + \tfrac{1}{2}\omega^2(x^2 + y^2)    </math>
  </td>
  <td align="center">
<math>~=</math>
  </td>
  <td align="left">
constant
  </td>
</tr>
</table>
</div>
<font color="green">where <math>~\mu</math> … stands for <math>~M^'/R^3</math> .
</font>
====Chandrasekhar (1969)====
From p. 190 of [<b>[[User:Tohline/Appendix/References#EFE|<font color="red">EFE</font>]]</b>] &#8212; ''verbatum'' text in green:  <font color="green">
In Roche's particular problem, the secondary is treated as a rigid sphere.  Then, over the primary, the tide-generating potential, <math>~\mathfrak{B}^'</math> can be expanded in the form
</font>
<div align="center">
<table border="0" cellpadding="5" align="center">
<tr>
  <td align="right">
<math>~\mathfrak{B}^'</math>
  </td>
  <td align="center">
<math>~=</math>
  </td>
  <td align="left">
<math>~ \frac{GM^'}{R} \biggl( 1 + \frac{x_1}{R} + \frac{x_1^2 - \tfrac{1}{2}x_2^2 - \tfrac{1}{2}x_3^2}{R^2} + \cdots \biggr) \, ;</math>
  </td>
</tr>
</table>
</div>
<font color="green">and the approximation which underlies this theory is to retain, in this expansion for <math>~\mathfrak{B}^'</math>, only the terms which have been explicitly written down and ignore all the terms which are of higher order.  On this assumption, the equation of motion becomes
</font>
<div align="center">
<table border="0" cellpadding="5" align="center">
<tr>
  <td align="right">
<math>~\frac{du_i}{dt} + \frac{1}{\rho} \frac{\partial p}{\partial x_i}</math>
  </td>
  <td align="center">
<math>~=</math>
  </td>
  <td align="left">
<math>~
\frac{\partial}{\partial x_i} \biggl[ \mathfrak{B} + \tfrac{1}{2}\Omega^2(x_1^2 + x_2^2) + \mu(x_1^2 - \tfrac{1}{2}x_2^2 - \tfrac{1}{2}x_3^2)
+ \biggl( \frac{GM^'}{R^2} - \frac{M^' R}{M+M^'} ~\Omega^2 \biggr)x_1
\biggr] + 2\Omega \epsilon_{i\ell 3} u_\ell
</math>
  </td>
</tr>
</table>
</div>
<font color="green">where we have introduced the abbreviation
</font>
<div align="center">
<math>~\mu = \frac{GM^'}{R^3} \, .</math>
</div>
<font color="green">So far, we have left <math>~\Omega^2</math> unspecified.  If we now let <math>~\Omega^2</math> have the "Keplerian value"
</font>
<div align="center">
<math>~\Omega^2 = \frac{G(M+ M^')}{R^3} = \mu \biggl(1 + \frac{M}{M^'} \biggr) \, ,</math>
</div>
<font color="green">the "unwanted" term in <math>~x_1</math>, on the right-hand side of</font> [this equation,] <font color="green">vanishes and we are left with
</font>
<div align="center">
<table border="0" cellpadding="5" align="center">
<tr>
  <td align="right">
<math>~\frac{du_i}{dt} + \frac{1}{\rho} \frac{\partial p}{\partial x_i}</math>
  </td>
  <td align="center">
<math>~=</math>
  </td>
  <td align="left">
<math>~
\frac{\partial}{\partial x_i} \biggl[ \mathfrak{B} + \tfrac{1}{2}\Omega^2(x_1^2 + x_2^2) + \mu(x_1^2 - \tfrac{1}{2}x_2^2 - \tfrac{1}{2}x_3^2)
\biggr] + 2\Omega \epsilon_{i\ell 3} u_\ell \, .
</math>
  </td>
</tr>
</table>
</div>
<font color="green">This is the basic equation of this theory;  and Roche's problem is concerned with the equilibrium and the stability of homogeneous masses governed by</font> [this relation].
====Tassoul (1978)====
From pp. 449-450 of [<b>[[User:Tohline/Appendix/References#T78|<font color="red">T78</font>]]</b>] &#8212; ''verbatum'' text in green:  <font color="green">
In Roche's particular problem, the secondary is treated as a rigid sphere; hence, over the primary, the tide-generating potential can be expanded in the form
</font>
<div align="center">
<table border="0" cellpadding="5" align="center">
<tr>
  <td align="left">
<math>~ -\frac{GM^'}{d} \biggl( 1 + \frac{x_1}{d} + \frac{x_1^2 - \tfrac{1}{2}x_2^2 - \tfrac{1}{2}x_3^2}{d^2} + \cdots \biggr) \, .</math>
  </td>
</tr>
</table>
</div>
<font color="green">The approximation that underlies the theory is to omit all terms beyond those written down.  On this assumption, we find that, apart from its own gravitation, the primary may be supposed to be acted upon by a total field of force derived from the potential
</font>
<div align="center">
<table border="0" cellpadding="5" align="center">
<tr>
  <td align="right">
<math>~-\tfrac{1}{2}\Omega^2(x_1^2 + x_x^2) - \mu(x_1^2 - \tfrac{1}{2}x_2^2 - \tfrac{1}{2}x_3^2) - \biggl(\mu - \frac{M^'}{M+M^'} \Omega^2\biggr) dx_1 \, ,</math>
  </td>
</tr>
</table>
</div>
<font color="green">where</font>
<div align="center">
<table border="0" cellpadding="5" align="center">
<tr>
  <td align="right">
<math>~\mu</math>
  </td>
  <td align="center">
<math>~=</math>
  </td>
  <td align="left">
<math>~\frac{GM^'}{d^3} \, .</math>
  </td>
</tr>
</table>
</div>
<font color="green">Further letting <math>~\Omega^2</math> have its "Keplerian value"</font>
<div align="center">
<table border="0" cellpadding="5" align="center">
<tr>
  <td align="right">
<math>~\Omega^2</math>
  </td>
  <td align="center">
<math>~=</math>
  </td>
  <td align="left">
<math>~\frac{G(M+M^')}{d^3} \, ,</math>
  </td>
</tr>
</table>
</div>
<font color="green">we can thus write the conditions of relative equilibrium for the primary in the form</font>
<div align="center">
<table border="0" cellpadding="5" align="center">
<tr>
  <td align="right">
<math>~\frac{1}{\rho} \nabla p</math>
  </td>
  <td align="center">
<math>~=</math>
  </td>
  <td align="left">
<math>~
-\nabla [ V
-\tfrac{1}{2}\Omega^2(x_1^2 + x_x^2) - \mu(x_1^2 - \tfrac{1}{2}x_2^2 - \tfrac{1}{2}x_3^2) ] \, ,
</math>
  </td>
</tr>
</table>
</div>
<font color="green">where <math>~V</math> is the self-gravitating potential of the primary.</font>
===Incompressible Roche Ellipsoids (&lambda; &#8800; 0)===
Let's see if we can understand the relationship between tabulated data presented by [http://adsabs.harvard.edu/abs/1993ApJS...88..205L Lai, Rasio, &amp; Shapiro (1993b, ApJS, 88, 205)] &#8212; hereafter, LRS93S &#8212; for the case of incompressible Roche ellipsoids, when <math>~\lambda = p = 1</math>.  After setting <math>~\kappa_{n=0} = 1</math> in their equation (4.8), we have,
<div align="center">
<table border="0" cellpadding="5" align="center">
<tr>
  <td align="right">
<math>~I</math>
  </td>
  <td align="center">
<math>~=</math>
  </td>
  <td align="left">
<math>~\frac{1}{5}a_1^2 M \biggl( 1 + \frac{a_2^2}{a_1^2}\biggr) \, .</math>
  </td>
</tr>
</table>
</div>
And, from their equation (7.12),
<div align="center">
<table border="0" cellpadding="5" align="center">
<tr>
  <td align="right">
<math>~J_\mathrm{tot}</math>
  </td>
  <td align="center">
<math>~=</math>
  </td>
  <td align="left">
<math>~\biggl[ \frac{Mr^2}{(1+p)} + I \biggr]\Omega \, .</math>
  </td>
</tr>
</table>
</div>
<span id="Kepler">If we adopt the Keplerian orbital frequency, the expression for the total angular momentum is,</span>
<div align="center">
<table border="0" cellpadding="5" align="center">
<tr>
  <td align="right">
<math>~J_\mathrm{Kep}</math>
  </td>
  <td align="center">
<math>~=</math>
  </td>
  <td align="left">
<math>~\biggl[ \frac{Mr^2}{(1+p)} + \frac{1}{5}a_1^2 M \biggl( 1 + \frac{a_2^2}{a_1^2}\biggr) \biggr]\biggl[ \frac{GM_\mathrm{tot}}{r^3} \biggr]^{1/2} </math>
  </td>
</tr>
<tr>
  <td align="right">
&nbsp;
  </td>
  <td align="center">
<math>~=</math>
  </td>
  <td align="left">
<math>~(GM^3)^{1/2} a_1^2\biggl[ \frac{1}{(1+p)}\biggl(\frac{r}{a_1}\biggr)^2 + \frac{1}{5}\biggl( 1 + \frac{a_2^2}{a_1^2}\biggr) \biggr]\biggl[ \frac{1}{r^3} \biggl( \frac{1+p}{p} \biggr)\biggr]^{1/2} </math>
  </td>
</tr>
<tr>
  <td align="right">
&nbsp;
  </td>
  <td align="center">
<math>~=</math>
  </td>
  <td align="left">
<math>~(GM^3 R)^{1/2} \biggl( \frac{a_1^4}{r^{3}R} \biggr)^{1/2} \biggl[ \frac{1}{(1+p)}\biggl(\frac{r}{a_1}\biggr)^2 + \frac{1}{5}\biggl( 1 + \frac{a_2^2}{a_1^2}\biggr) \biggr]
\biggl[ \biggl( \frac{1+p}{p} \biggr)\biggr]^{1/2} \, . </math>
  </td>
</tr>
</table>
</div>
For the specific case of an equal-mass binary sequence &#8212; that is, <math>~\lambda = p = 1</math> &#8212; as considered in the following table, we have,
<div align="center">
<table border="0" cellpadding="5" align="center">
<tr>
  <td align="right">
<math>~\bar{J}_\mathrm{Kep}\biggr|_{p=1} \equiv (GM^3 R)^{-1/2} J_\mathrm{Kep}\biggr|_{p=1} </math>
  </td>
  <td align="center">
<math>~=</math>
  </td>
  <td align="left">
<math>~2^{-1 / 2}  \biggl( \frac{a_1}{r} \biggr)^{2}\biggl( \frac{r^3}{a_1^3} \cdot \frac{a_1^3}{R^3}\biggr)^{1/6} \biggl[ \biggl(\frac{r}{a_1}\biggr)^2 + \frac{2}{5}\biggl( 1 + \frac{a_2^2}{a_1^2}\biggr) \biggr]
</math>
  </td>
</tr>
<tr>
  <td align="right">
&nbsp;
  </td>
  <td align="center">
<math>~=</math>
  </td>
  <td align="left">
<math>~2^{-1 / 2}  \biggl( \frac{a_1}{r} \biggr)^{3/2} \biggl( \frac{a_2}{a_1}\cdot \frac{a_3}{a_1}\biggr)^{-1/6} \biggl[ \biggl(\frac{r}{a_1}\biggr)^2 + \frac{2}{5}\biggl( 1 + \frac{a_2^2}{a_1^2}\biggr) \biggr] \, ,
</math>
  </td>
</tr>
</table>
</div>
where we also have involved the expression for an equivalent spherical radius given just before their equation (7.21), namely,
<div align="center">
<table border="0" cellpadding="5" align="center">
<tr>
  <td align="right">
<math>~R^3</math>
  </td>
  <td align="center">
<math>~=</math>
  </td>
  <td align="left">
<math>~a_1 a_2 a_3 = a_1^3\biggl( \frac{a_2}{a_1}\cdot \frac{a_3}{a_1}\biggr) \, .</math>
  </td>
</tr>
</table>
</div>
<table border="1" align="center" cellpadding="5">
<tr>
  <th align="center" colspan="9"><font size="+1"><b>Table 1:</b></font>&nbsp; Incompressible <math>~(n=0)</math> Roche Ellipsoids with <math>~\lambda = p = 1</math></th>
</tr>
<tr>
  <th align="center" colspan="4">
Extracted from Table 1 of [http://adsabs.harvard.edu/abs/1963ApJ…138.1182C Chandrasekhar (1963)]<br />
same as [<b>[[User:Tohline/Appendix/References#EFE|<font color="red">EFE</font>]]</b>] Table XVI</th>
  <th align="center" colspan="5">EFE Check</th>
</tr>
<tr>
  <td align="center"> (1) </td>
  <td align="center"> (2) </td>
  <td align="center"> (3) </td>
  <td align="center"> (4) </td>
  <td align="center"> (5) </td>
  <td align="center"> (6) </td>
  <td align="center"> (7) </td>
  <td align="center"> (8) </td>
  <td align="center"> (9) </td>
</tr>
<tr>
<td align="center"><math>~\cos^{-1}(a_3/a_1)</math>
<td align="center"><math>~a_2/a_1</math>
<td align="center"><math>~a_3/a_1</math>
<td align="center"><math>~\Omega^2</math>
<td align="center"><math>~r/a_1</math>
<td align="center"><math>~\bar{J}_\mathrm{Kep}=L_\mathrm{tot}/(GM^3 R)^{1/2}</math>
<td align="center"><math>~r/R</math>
<td align="center"><math>~\mathfrak{J}</math>
<td align="center"><math>~L_\mathrm{tot}/(GM_\mathrm{tot}^3 R)^{1/2}</math>
</tr>
<tr>
  <td align="center"> 12&deg; </td>
  <td align="center"> 0.98660 </td>
  <td align="center"> 0.97815 </td>
  <td align="center"> 0.009293 </td>
  <td align="center"> 6.5181</td>
  <td align="center"> 1.8498 </td>
  <td align="center"> 6.5959 </td>
  <td align="center"> 1.0104 </td>
  <td align="center"> 0.6540 </td>
</tr>
<tr>
  <td align="center"> 24&deg; </td>
  <td align="center"> 0.94376 </td>
  <td align="center"> 0.91355 </td>
  <td align="center"> 0.036152 </td>
  <td align="center"> 3.9916 </td>
  <td align="center"> 1.5168 </td>
  <td align="center"> 4.1938 </td>
  <td align="center"> 1.0436 </td>
  <td align="center"> 0.5363 </td>
</tr>
<tr>
  <td align="center"> 36&deg; </td>
  <td align="center"> 0.86345 </td>
  <td align="center"> 0.80902 </td>
  <td align="center"> 0.076342 </td>
  <td align="center"> 2.9005 </td>
  <td align="center"> 1.3846 </td>
  <td align="center"> 3.2689 </td>
  <td align="center"> 1.1086 </td>
  <td align="center"> 0.4895 </td>
</tr>
<tr>
  <td align="center"> 48&deg; </td>
  <td align="center"> 0.73454 </td>
  <td align="center"> 0.66913 </td>
  <td align="center"> 0.118726 </td>
  <td align="center"> 2.2266 </td>
  <td align="center"> 1.3353 </td>
  <td align="center"> 2.8215 </td>
  <td align="center"> 1.2360 </td>
  <td align="center"> 0.4721 </td>
</tr>
<tr>
  <td align="center"> 54&deg; </td>
  <td align="center"> 0.64956 </td>
  <td align="center"> 0.58779 </td>
  <td align="center"> 0.134284 </td>
  <td align="center"> 1.9645 </td>
  <td align="center"> 1.3351 </td>
  <td align="center"> 2.7080 </td>
  <td align="center"> 1.3510 </td>
  <td align="center"> 0.4720 </td>
</tr>
<tr>
  <td align="center"> 59&deg; </td>
  <td align="center"> 0.56892 </td>
  <td align="center"> 0.51504 </td>
  <td align="center"> 0.140854 </td>
  <td align="center"> 1.7702 </td>
  <td align="center"> 1.3494 </td>
  <td align="center"> 2.6652 </td>
  <td align="center"> 1.5003 </td>
  <td align="center"> 0.4771 </td>
</tr>
<tr>
  <td align="center"> 60&deg; </td>
  <td align="center"> 0.55186 </td>
  <td align="center"> 0.50000 </td>
  <td align="center"> 0.141250 </td>
  <td align="center"> 1.7335 </td>
  <td align="center"> 1.3542 </td>
  <td align="center"> 2.6627 </td>
  <td align="center"> 1.5390 </td>
  <td align="center"> 0.4788 </td>
</tr>
<tr>
  <td align="center"> 61&deg; </td>
  <td align="center"> 0.53451 </td>
  <td align="center"> 0.48481 </td>
  <td align="center"> 0.141298 </td>
  <td align="center"> 1.6974 </td>
  <td align="center"> 1.3597 </td>
  <td align="center"> 2.6624 </td>
  <td align="center"> 1.5816 </td>
  <td align="center"> 0.4807 </td>
</tr>
<tr>
  <td align="center"> 66&deg; </td>
  <td align="center"> 0.44429 </td>
  <td align="center"> 0.40674 </td>
  <td align="center"> 0.135785 </td>
  <td align="center"> 1.5253 </td>
  <td align="center"> 1.4006 </td>
  <td align="center"> 2.6980 </td>
  <td align="center"> 1.8732 </td>
  <td align="center"> 0.4952 </td>
</tr>
<tr>
  <td align="center"> 69&deg; </td>
  <td align="center"> 0.38813 </td>
  <td align="center"> 0.35837 </td>
  <td align="center"> 0.127424 </td>
  <td align="center"> 1.4388 </td>
  <td align="center"> 1.4278 </td>
  <td align="center"> 2.7557 </td>
  <td align="center"> 2.1105 </td>
  <td align="center"> 0.5073 </td>
</tr>
<tr>
  <td align="center"> 71&deg; </td>
  <td align="center"> 0.35022 </td>
  <td align="center"> 0.32557 </td>
  <td align="center"> 0.119625 </td>
  <td align="center"> 1.3647 </td>
  <td align="center"> 1.4723 </td>
  <td align="center"> 2.8144 </td>
  <td align="center"> 2.3873 </td>
  <td align="center"> 0.5205 </td>
</tr>
<tr>
  <td align="center"> 72&deg; </td>
  <td align="center"> 0.33119 </td>
  <td align="center"> 0.30902 </td>
  <td align="center"> 0.115054 </td>
  <td align="center"> 1.3337 </td>
  <td align="center"> 1.4919 </td>
  <td align="center"> 2.8512 </td>
  <td align="center"> 2.5357 </td>
  <td align="center"> 0.5275 </td>
</tr>
<tr>
  <td align="center"> 73&deg; </td>
  <td align="center"> 0.31213 </td>
  <td align="center"> 0.29237 </td>
  <td align="center"> 0.110044 </td>
  <td align="center"> 1.3028 </td>
  <td align="center"> 1.5140 </td>
  <td align="center"> 2.8938 </td>
  <td align="center"> 2.7072 </td>
  <td align="center"> 0.5353 </td>
</tr>
<tr>
  <td align="center"> 75&deg; </td>
  <td align="center"> 0.27405 </td>
  <td align="center"> 0.25882 </td>
  <td align="center"> 0.098753 </td>
  <td align="center"> 1.2419 </td>
  <td align="center"> 1.5663 </td>
  <td align="center"> 3.0001 </td>
  <td align="center"> 3.1371 </td>
  <td align="center"> 0.5538 </td>
</tr>
<tr>
  <td align="center"> 78&deg; </td>
  <td align="center"> 0.21726 </td>
  <td align="center"> 0.20791 </td>
  <td align="center"> 0.078934 </td>
  <td align="center"> 1.1513 </td>
  <td align="center"> 1.6731 </td>
  <td align="center"> 3.2327 </td>
  <td align="center"> 4.1282 </td>
  <td align="center"> 0.5915 </td>
</tr>
<tr>
  <td align="center"> 81&deg; </td>
  <td align="center"> 0.16126 </td>
  <td align="center"> 0.15643 </td>
  <td align="center"> 0.056499 </td>
  <td align="center"> 1.0599 </td>
  <td align="center"> 1.8353 </td>
  <td align="center"> 3.6139 </td>
  <td align="center"> 5.9641 </td>
  <td align="center"> 0.6489 </td>
</tr>
</table>
<table border="1" align="center" cellpadding="5">
<tr>
  <th align="center" colspan="10"><font size="+1"><b>Table 2:</b></font>&nbsp; Incompressible <math>~(n=0)</math> Roche Ellipsoids with <math>~\lambda = p = 1</math></th>
</tr>
<tr>
  <th align="center" colspan="7">LRS93 Supplements</th>
  <th align="center" colspan="3">LRS93 Check</th>
</tr>
<tr>
  <td align="center"> (1) </td>
  <td align="center"> (2) </td>
  <td align="center"> (3) </td>
  <td align="center"> (4) </td>
  <td align="center"> (5)</td>
  <td align="center"> (6) </td>
  <td align="center"> (7) </td>
  <td align="center">(8)</td>
  <td align="center">(9)</td>
  <td align="center">(10)</td>
</tr>
<tr>
<td align="center"><math>~r/a_1</math>
<td align="center"><math>~r/R</math>
<td align="center"><math>~a_2/a_1</math>
<td align="center"><math>~a_3/a_1</math>
<td align="center"><math>~\bar\Omega</math>
<td align="center"><math>~\bar{J}</math>
<td align="center"><math>~\bar{E}</math>
<td align="center"><math>~\biggl(\frac{rp^{1/3}}{a_1}\biggr)^3\biggl(\frac{R}{rp^{1/3}}\biggr)^3\biggl( \frac{a_2}{a_1}\cdot \frac{a_3}{a_1}\biggr)^{-1}</math>
<td align="center"><math>~\bar\Omega_\mathrm{Kep}</math>
<td align="center"><math>~\bar{J}_\mathrm{Kep}</math>
</tr>
<tr>
  <td align="center"> 5.0 </td>
  <td align="center"> 5.131 </td>
  <td align="center"> 0.9707 </td>
  <td align="center"> 0.9533 </td>
  <td align="center"> 0.1406 </td>
  <td align="center"> 1.653 </td>
  <td align="center"> -0.6943 </td>
  <td align="center">1.0000</td>
  <td align="center">0.1405</td>
  <td align="center">1.6515</td>
</tr>
<tr>
  <td align="center"> 4.0 </td>
  <td align="center"> 4.202 </td>
  <td align="center"> 0.9441 </td>
  <td align="center"> 0.9139 </td>
  <td align="center"> 0.1901 </td>
  <td align="center"> 1.522 </td>
  <td align="center"> -0.7128 </td>
  <td align="center">0.9998</td>
  <td align="center">0.1896</td>
  <td align="center">1.5180</td>
</tr>
<tr>
  <td align="center"> 3.0 </td>
  <td align="center"> 3.348 </td>
  <td align="center"> 0.8750 </td>
  <td align="center"> 0.8222 </td>
  <td align="center"> 0.2690 </td>
  <td align="center"> 1.408 </td>
  <td align="center"> -0.7349 </td>
  <td align="center">1.0001</td>
  <td align="center">0.2666</td>
  <td align="center">1.3954</td>
</tr>
<tr>
  <td align="center"> 2.7 </td>
  <td align="center"> 3.124 </td>
  <td align="center"> 0.8345 </td>
  <td align="center"> 0.7738 </td>
  <td align="center"> 0.3000 </td>
  <td align="center"> 1.386 </td>
  <td align="center"> -0.7404 </td>
  <td align="center">0.9998</td>
  <td align="center">0.2958</td>
  <td align="center">1.3661</td>
</tr>
<tr>
  <td align="center"> 2.5 </td>
  <td align="center"> 2.989 </td>
  <td align="center"> 0.7981 </td>
  <td align="center"> 0.7330 </td>
  <td align="center"> 0.3222 </td>
  <td align="center"> 1.377 </td>
  <td align="center"> -0.7427 </td>
  <td align="center">1.0002</td>
  <td align="center">0.3160</td>
  <td align="center">1.3506</td>
</tr>
<tr>
  <td align="center"> 2.380 </td>
  <td align="center"> 2.916 </td>
  <td align="center"> 0.7715 </td>
  <td align="center"> 0.7044 </td>
  <td align="center"> 0.3358 </td>
  <td align="center"> 1.375 </td>
  <td align="center"> -0.7432 </td>
  <td align="center">1.0005</td>
  <td align="center">0.3279</td>
  <td align="center">1.3436</td>
</tr>
<tr>
  <td align="center"> 2.2 </td>
  <td align="center"> 2.821 </td>
  <td align="center"> 0.7236 </td>
  <td align="center"> 0.6553 </td>
  <td align="center"> 0.3556 </td>
  <td align="center"> 1.380 </td>
  <td align="center"> -0.7418 </td>
  <td align="center">1.0003</td>
  <td align="center">0.3446</td>
  <td align="center">1.3373</td>
</tr>
<tr>
  <td align="center"> 2.112 </td>
  <td align="center"> 2.783 </td>
  <td align="center"> 0.6960 </td>
  <td align="center"> 0.6281 </td>
  <td align="center"> 0.3648 </td>
  <td align="center"> 1.386 </td>
  <td align="center"> -0.7399 </td>
  <td align="center">0.9998</td>
  <td align="center">0.3518</td>
  <td align="center">1.3366</td>
</tr>
<tr>
  <td align="center"> 2.0 </td>
  <td align="center"> 2.744 </td>
  <td align="center"> 0.6561 </td>
  <td align="center"> 0.5901 </td>
  <td align="center"> 0.3753 </td>
  <td align="center"> 1.399 </td>
  <td align="center"> -0.7358 </td>
  <td align="center">1.0001</td>
  <td align="center">0.3592</td>
  <td align="center">1.3389</td>
</tr>
<tr>
  <td align="center"> 1.801 </td>
  <td align="center"> 2.713 </td>
  <td align="center"> 0.5708 </td>
  <td align="center"> 0.5123 </td>
  <td align="center"> 0.3886 </td>
  <td align="center"> 1.441 </td>
  <td align="center"> -0.7218 </td>
  <td align="center">1.0004</td>
  <td align="center">0.3654</td>
  <td align="center">1.3552</td>
</tr>
<tr>
  <td align="center"> 1.697 </td>
  <td align="center"> 2.724 </td>
  <td align="center"> 0.5184 </td>
  <td align="center"> 0.4664 </td>
  <td align="center"> 0.3908 </td>
  <td align="center"> 1.477 </td>
  <td align="center"> -0.7097 </td>
  <td align="center">1.0000</td>
  <td align="center">0.3632</td>
  <td align="center">1.3727</td>
</tr>
<tr>
  <td align="center"> 1.6 </td>
  <td align="center"> 2.759 </td>
  <td align="center"> 0.4644 </td>
  <td align="center"> 0.4198 </td>
  <td align="center"> 0.3884 </td>
  <td align="center"> 1.524 </td>
  <td align="center"> -0.6939 </td>
  <td align="center">1.0004</td>
  <td align="center">0.3563</td>
  <td align="center">1.3977</td>
</tr>
<tr>
  <td align="center"> 1.5 </td>
  <td align="center"> 2.831 </td>
  <td align="center"> 0.4040 </td>
  <td align="center"> 0.3682 </td>
  <td align="center"> 0.3798 </td>
  <td align="center"> 1.590 </td>
  <td align="center"> -0.6717 </td>
  <td align="center">1.0000</td>
  <td align="center">0.3428</td>
  <td align="center">1.4358</td>
</tr>
<tr>
  <td align="center"> 1.0 </td>
  <td align="center"> 5.312 </td>
  <td align="center"> 0.0823 </td>
  <td align="center"> 0.0811 </td>
  <td align="center"> 0.1685 </td>
  <td align="center"> 2.888 </td>
  <td align="center"> -0.3772 </td>
  <td align="center">0.9996</td>
  <td align="center">0.1334</td>
  <td align="center">2.2859</td>
</tr>
</table>
====Digesting LRS93S Results====
In column (12) of the above table we have combined the data from columns (5), (6), (7), &amp; (8) to demonstrate that LRS93S indeed used the definition of <math>~R</math>, given above for their incompressible, Roche ellipsoid configurations; these terms should zombie to give unity, and they appear to do so, within the accuracy presented by the data from LRS93S.  In column 14 of the table, we have listed the value of <math>~\bar{J}_\mathrm{Kep}</math>, as given by the above expression.  Column 13 lists <math>~\bar{\Omega}_\mathrm{Kep}</math>, as follows:
<div align="center">
<table border="0" cellpadding="5" align="center">
<tr>
  <td align="right">
<math>~\Omega_K</math>
  </td>
  <td align="center">
<math>~=</math>
  </td>
  <td align="left">
<math>~\biggl[ \frac{GM_\mathrm{tot}}{r^3} \biggr]^{1/2}</math>
  </td>
</tr>
<tr>
  <td align="right">
&nbsp;
  </td>
  <td align="center">
<math>~=</math>
  </td>
  <td align="left">
<math>~\biggl[ \frac{GM}{R^3} \biggl( \frac{1+p}{p}\biggr) \biggl( \frac{R}{r}\biggr)^3\biggr]^{1/2}</math>
  </td>
</tr>
<tr>
  <td align="right">
&nbsp;
  </td>
  <td align="center">
<math>~=</math>
  </td>
  <td align="left">
<math>~\biggl[\frac{4\pi G \rho}{3}\biggr]^{1/ 2} \biggl( \frac{1+p}{p}\biggr)^{1 / 2} \biggl[\biggl( \frac{a_1}{r}\biggr)^3 \frac{a_2}{a_1} \cdot \frac{a_3}{a_1}\biggr]^{1/2}</math>
  </td>
</tr>
<tr>
  <td align="right">
<math>~\Rightarrow~~~ \bar\Omega_\mathrm{Kep}\biggr|_{p=1} \equiv \frac{\Omega_\mathrm{Kep}}{(\pi G \rho)^{1/2}}\biggr|_{p=1}</math>
  </td>
  <td align="center">
<math>~=</math>
  </td>
  <td align="left">
<math>~\biggl[ \frac{8}{3}\biggl( \frac{a_1}{r}\biggr)^3 \frac{a_2}{a_1} \cdot \frac{a_3}{a_1}\biggr]^{1/2} \, .</math>
  </td>
</tr>
</table>
</div>
The value of the LRS93S correction factor, <math>~(1+\delta)</math>, can be obtained either from the ratio, <math>~\bar{J}/\bar{J}_\mathrm{Kep}</math>, or from the ratio, <math>~\bar{\Omega}/\bar{\Omega}_\mathrm{Kep}</math>.
====Digesting the EFE Results====
The EFE table lists values of <math>~\bar\Omega_\mathrm{Kep}</math>, but not values of <math>~r/a_1</math>.  Inverting the expression just provided gives,
<div align="center">
<table border="0" cellpadding="5" align="center">
<tr>
  <td align="right">
<math>~\biggl( \frac{a_1}{r}\biggr)^3 \frac{a_2}{a_1} \cdot \frac{a_3}{a_1} </math>
  </td>
  <td align="center">
<math>~=</math>
  </td>
  <td align="left">
<math>~ \frac{3}{8}\bar\Omega^2_\mathrm{Kep}</math>
  </td>
</tr>
<tr>
  <td align="right">
<math>~\Rightarrow ~~~ \frac{r}{a_1}</math>
  </td>
  <td align="center">
<math>~=</math>
  </td>
  <td align="left">
<math>~\biggl[ \frac{8}{3\bar\Omega^2_\mathrm{Kep} }\biggl( \frac{a_2}{a_1} \cdot \frac{a_3}{a_1} \biggr) \biggr]^{1 / 3} \, .</math>
  </td>
</tr>
</table>
</div>
In the above "EFE Check" column, we've listed these inferred values of <math>~r/a_1</math>.  Or, we might prefer the ratio, <math>~r/R</math>, which is obtained from the Keplerian frequency via the expression,
<div align="center">
<table border="0" cellpadding="5" align="center">
<tr>
  <td align="right">
<math>~ \Omega_K^2</math>
  </td>
  <td align="center">
<math>~=</math>
  </td>
  <td align="left">
<math>~\frac{4\pi G \rho}{3} \biggl( \frac{1+p}{p}\biggr) \biggl[\frac{R}{r} \biggr]^{3} </math>
  </td>
</tr>
<tr>
  <td align="right">
<math>~\Rightarrow ~~~  \biggl[\frac{R}{r} \biggr]^{3} </math>
  </td>
  <td align="center">
<math>~=</math>
  </td>
  <td align="left">
<math>\biggl[\frac{3}{4}\biggr] \biggl( \frac{p}{1+p}\biggr) ~\biggl( \frac{\Omega_K^2}{\pi G\rho}\biggr)</math>
  </td>
</tr>
<tr>
  <td align="right">
<math>~\Rightarrow ~~~  \biggl(\frac{r}{R} \biggr)_{p=1}</math>
  </td>
  <td align="center">
<math>~=</math>
  </td>
  <td align="left">
<math>\biggl[ \frac{3}{8} \biggl( \frac{\Omega_K^2}{\pi G\rho}\biggr)_{p=1} \biggr]^{-1/3}  \, .</math>
  </td>
</tr>
</table>
</div>
====Comparison====
In the context of our [[#SphericalLtot|simplistic spherical model, above]], we derived the following expression for the total angular momentum:
<div align="center">
<table border="0" cellpadding="5" align="center">
<tr>
  <td align="right">
<math>~L_\mathrm{tot} </math>
  </td>
  <td align="center">
<math>~=</math>
  </td>
  <td align="left">
<math>~
(G M_\mathrm{tot}^3 R)^{1 / 2} \biggl\{ \frac{1}{(1+\lambda)}  \biggl( \frac{d}{R}\biggr)^{1 / 2}
+ \frac{2}{5}\biggl[ 1
+  \cancelto{0}{\frac{1}{\lambda}\biggl( \frac{R^'}{R}\biggr)^{2}} \biggr] \biggl( \frac{d}{R}\biggr)^{-3/2}
\biggr\}\biggl(\frac{\lambda}{1+\lambda} \biggr) \, .
</math>
  </td>
</tr>
</table>
</div>
Rewriting our [[#Kepler|just-derived "Keplerian" expression]] to emphasize the ratio <math>~r/R</math> instead of <math>~r/a_1</math>, and to highlight the system's total mass in the leading ''dimensional'' coefficient, allows us to more readily recognize the overlap with this simpler expression.
<div align="center">
<table border="0" cellpadding="5" align="center">
<tr>
  <td align="right">
<math>~J_\mathrm{Kep}</math>
  </td>
  <td align="center">
<math>~=</math>
  </td>
  <td align="left">
<math>~(GM^3 R)^{1/2}
\biggl[ \frac{1}{(1+p)}\biggl( \frac{r}{R} \biggr)^{1/2}  + \frac{1}{5}\biggl( 1 + \frac{a_2^2}{a_1^2}\biggr) \biggl( \frac{a_1}{R} \cdot  \frac{R}{r} \biggr)^{2} \biggl( \frac{r}{R} \biggr)^{1/2} \biggr]
\biggl( \frac{1+p}{p} \biggr)^{1/2} </math>
  </td>
</tr>
<tr>
  <td align="right">
&nbsp;
  </td>
  <td align="center">
<math>~=</math>
  </td>
  <td align="left">
<math>~(GM_\mathrm{tot}^3 R)^{1/2} \biggl( \frac{p}{1+p} \biggr)^{3/2}
\biggl[ \frac{1}{(1+p)}\biggl( \frac{r}{R} \biggr)^{1/2}  + \frac{1}{5}\biggl( 1 + \frac{a_2^2}{a_1^2}\biggr) \biggl( \frac{a_1}{R}  \biggr)^{2} \biggl( \frac{r}{R} \biggr)^{-3/2} \biggr]
\biggl( \frac{1+p}{p} \biggr)^{1/2} </math>
  </td>
</tr>
<tr>
  <td align="right">
&nbsp;
  </td>
  <td align="center">
<math>~=</math>
  </td>
  <td align="left">
<math>~(GM_\mathrm{tot}^3 R)^{1/2}
\biggl[ \frac{1}{(1+p)}\biggl( \frac{r}{R} \biggr)^{1/2}  + \frac{1}{5}\biggl( 1 + \frac{a_2^2}{a_1^2}\biggr) \biggl( \frac{a_1}{R}  \biggr)^{2} \biggl( \frac{r}{R} \biggr)^{-3/2} \biggr]
\biggl( \frac{p}{1+p} \biggr) </math>
  </td>
</tr>
</table>
</div>
It makes sense, then, to write the total angular momentum as,
<div align="center">
<table border="0" cellpadding="5" align="center">
<tr>
  <td align="right">
<math>~L_\mathrm{tot} </math>
  </td>
  <td align="center">
<math>~=</math>
  </td>
  <td align="left">
<math>~
(G M_\mathrm{tot}^3 R)^{1 / 2} \biggl\{ \frac{1}{(1+\lambda)}  \biggl( \frac{d}{R}\biggr)^{1 / 2}
+ \frac{2}{5} \cdot \mathfrak{J}\biggl( \frac{d}{R}\biggr)^{-3/2}
\biggr\}\biggl(\frac{\lambda}{1+\lambda} \biggr) \, ,
</math>
  </td>
</tr>
</table>
</div>
where, <math>~\mathfrak{J} =1 </math> when one assumes that the primary star is spherical, but when tidal distortions are taken into account,
<div align="center">
<math>~\mathfrak{J} =  \frac{1}{2} \biggl( 1 + \frac{a_2^2}{a_1^2}\biggr) \biggl( \frac{a_1}{R}  \biggr)^{2} \, .</math>
</div>
<table border="1" cellpadding="5" align="center" width="80%">
<tr>
  <td align="center" colspan="2">
<font size="+1"><b>Figure 1:</b></font> "Roche" Binary Sequences with Point-Mass Secondary and <math>~M/M^' = 1</math>
  </td>
</tr>
<tr>
  <td align="center">
Our Constructed Diagram
  </td>
  <td align="center">
Extracted from Fig. 10 of  [http://adsabs.harvard.edu/abs/1993ApJS...88..205L LRS93Supplement]
  </td>
</tr>
<tr>
  <td align="center">
[[File:DarwinP1compare.png|600px|Compare to LRS93S Fig10]]
  </td>
  <td align="center">
[[File:LRS93SFig10.png|400px|LRS93S Fig10]]
  </td>
</tr>
<tr>
  <td align="left" colspan="2">
<b>Left:</b> &nbsp; Curves showing how the total system angular momentum varies with binary separation when <math>~n=0</math> and the secondary star <math>~(M^')</math> is treated as a point mass.  (Blue dashed curve) Primary star assumed to be a sphere and, hence, <math>~\mathfrak{J} = 1</math>; (Green filled circular markers) Primary star is an (EFE) ellipsoidal configuration with axis ratios specified by columns 2 and 3 of our Table 1, normalized angular momentum specified by column 6 of our Table 1, and binary separation specified by column 7 of our Table 1; (Solid red curve connecting red filled circular markers) Primary star is an (LRS93S) ellipsoidal configuration with axis ratios specified by columns 3 and 4 of our Table 2, normalized angular momentum specified by column 6 of our Table 2, and binary separation specified by column 2 of our Table 2.  The green filled circular markers define the same (EFE) sequence that is presented as a dot-dashed curve in the right-hand panel; the red filled circular markers and associated smoothed curve define the same (LRS93S) sequence that is presented as a solid curve in the right-hand panel.  The purple filled circlular marker identifies the turning point along the (LRS93S) sequence associated with the minimum system angular momentum; the yellow filled circular marker identifies the turning point along the same sequence that is associated with the minimum separation &#8212; the so-called "Roche" limit.
<b>Right:</b> &nbsp; (The following text is largely taken from the Fig. 10 caption of LRS93S)  Equilibrium curves generated by LRS93S showing total angular momentum as a function of binary separation along two incompressible, and three compressible Roche sequences with <math>~M/M^' = 1</math>.  The various curves display results from polytropic configurations having <math>~n=0</math> (''solid line''), <math>~n=1</math> (''dotted line''), <math>~n=1.5</math> (''short-dashed line''), and <math>~n=2.5</math> (''long-dashed line'').  For comparison, the sequence obtained by EFE for <math>~n=0</math> is also drawn (''dotted-dashed line'').
  </td>
</tr>
</table>
===Incompressible Roche Ellipsoids (&lambda; = 0)===
<table border="1" cellpadding="5" align="center">
<tr>
  <td align="center">
Extracted from p. 229 of [http://rsta.royalsocietypublishing.org/content/206/402-412/161 G. H. Darwin (1906)]
  </td>
</tr>
<tr>
  <td align="center">
[[File:DarwinText01.png|700px|Roche limit]]
  </td>
</tr>
<tr>
  <td align="center">
Extracted from p. 242 of [http://rsta.royalsocietypublishing.org/content/206/402-412/161 G. H. Darwin (1906)]
  </td>
</tr>
<tr>
  <td align="center">
[[File:DarwinText02.png|700px|Roche limit]]
  </td>
</tr>
</table>
Here we examine the results presented by Roche, by Darwin, and by EFE for the case of a point-mass secondary (<math>~(M^')</math> and a primary whose mass <math>~(M)</math> is formally zero.  In this case, we must use a different scheme for normalizing physical quantities.  Because the secondary is not spinning and it has no orbital motion, only the primary contributes to the system's "angular momentum"; but because the primary has no mass, we need to examine its (and, hence, the system's) ''specific'' angular momentum.  Specifically,
<div align="center">
<table border="0" cellpadding="5" align="center">
<tr>
  <td align="right">
<math>~\frac{I}{M}</math>
  </td>
  <td align="center">
<math>~=</math>
  </td>
  <td align="left">
<math>~\frac{1}{5}a_1^2  \biggl( 1 + \frac{a_2^2}{a_1^2}\biggr) \, ,</math>
  </td>
</tr>
</table>
</div>
and,
<div align="center">
<table border="0" cellpadding="5" align="center">
<tr>
  <td align="right">
<math>~j \equiv \frac{J_\mathrm{tot}}{M}</math>
  </td>
  <td align="center">
<math>~=</math>
  </td>
  <td align="left">
<math>~\biggl[ \frac{r^2}{(1+\cancelto{0}{p})} + \frac{I}{M} \biggr]\Omega_\mathrm{Kep} </math>
  </td>
</tr>
<tr>
  <td align="right">
&nbsp;
  </td>
  <td align="center">
<math>~=</math>
  </td>
  <td align="left">
<math>~R^2\biggl[ \biggl(\frac{r}{R}\biggr)^2 + \frac{2}{5} \cdot \mathfrak{J} \biggr]\biggl(\frac{GM^'}{r^3}\biggr)^{1 / 2} </math>
  </td>
</tr>
<tr>
  <td align="right">
&nbsp;
  </td>
  <td align="center">
<math>~=</math>
  </td>
  <td align="left">
<math>~(GM^' R)^{1 / 2} \biggl[ \biggl(\frac{r}{R}\biggr)^{1 / 2} + \frac{2}{5} \cdot \mathfrak{J} \biggl(\frac{r}{R}\biggr)^{-3 / 2} \biggr] \, , </math>
  </td>
</tr>
</table>
</div>
where, in order to ensure that the density of the primary remains constant along an equilibrium sequece, the adopted normalizing length scale is customarily,
<div align="center">
<math>~R^3 \equiv a_1 a_2 a_3 ~~~\Rightarrow ~~~ \frac{R}{a_1} = \biggl( \frac{a_2}{a_1}\cdot \frac{a_3}{a_1} \biggr)^{1 / 3} \, ,</math>
</div>
in which case,
<div align="center">
<table border="0" cellpadding="5" align="center">
<tr>
  <td align="right">
<math>~\mathfrak{J} </math>
  </td>
  <td align="center">
<math>~=</math>
  </td>
  <td align="left">
<math>~\frac{1}{2} \biggl( 1 + \frac{a_2^2}{a_1^2}\biggr) \biggl( \frac{a_1}{R}  \biggr)^{2} </math>
  </td>
</tr>
<tr>
  <td align="right">
&nbsp;
  </td>
  <td align="center">
<math>~=</math>
  </td>
  <td align="left">
<math>~\frac{1}{2} \biggl( 1 + \frac{a_2^2}{a_1^2}\biggr) \biggl( \frac{a_2}{a_1}\cdot \frac{a_3}{a_1} \biggr)^{-2 / 3} </math>
  </td>
</tr>
</table>
</div>
<table border="1" align="center" cellpadding="5">
<tr>
  <th align="center" colspan="8"><font size="+1"><b>Table 3:</b></font>&nbsp; Incompressible <math>~(n=0)</math> Roche Ellipsoids with <math>~\lambda = p = 0</math></th>
</tr>
<tr>
  <th align="center" colspan="4">
Extracted from Table 1 of [http://adsabs.harvard.edu/abs/1963ApJ…138.1182C Chandrasekhar (1963)]<br />
same as [<b>[[User:Tohline/Appendix/References#EFE|<font color="red">EFE</font>]]</b>] Table XVI</th>
  <th align="center" colspan="5">EFE Check</th>
</tr>
<tr>
  <td align="center"> (1) </td>
  <td align="center"> (2) </td>
  <td align="center"> (3) </td>
  <td align="center"> (4) </td>
  <td align="center"> (5) </td>
  <td align="center"> (6) </td>
  <td align="center"> (7) </td>
  <td align="center"> (8) </td>
</tr>
<tr>
<td align="center"><math>~\cos^{-1}(a_3/a_1)</math></td>
<td align="center"><math>~a_2/a_1</math></td>
<td align="center"><math>~a_3/a_1</math></td>
<td align="center"><math>~\Omega^2</math></td>
<td align="center"><math>~r/R</math></td>
<td align="center"><math>~R/a_1</math></td>
<td align="center"><math>~\mathfrak{J}</math></td>
<td align="center"><math>~j/(GM^' R)^{1/2}</math></td>
</tr>
<tr>
  <td align="center"> 24&deg; </td>
  <td align="center"> 0.93188 </td>
  <td align="center"> 0.91355 </td>
  <td align="center"> 0.022624 </td>
  <td align="center"> 3.8916 </td>
  <td align="center"> 0.9478 </td>
  <td align="center"> 1.0400 </td>
  <td align="center"> 2.0269 </td>
</tr>
<tr>
  <td align="center"> 36&deg; </td>
  <td align="center"> 0.84112 </td>
  <td align="center"> 0.80902 </td>
  <td align="center"> 0.047871 </td>
  <td align="center"> 3.0312 </td>
  <td align="center"> 0.8796 </td>
  <td align="center"> 1.1035 </td>
  <td align="center"> 1.8247 </td>
</tr>
<tr>
  <td align="center"> 48&deg; </td>
  <td align="center"> 0.70687 </td>
  <td align="center"> 0.66913 </td>
  <td align="center"> 0.074799 </td>
  <td align="center"> 2.6122 </td>
  <td align="center"> 0.7791 </td>
  <td align="center"> 1.2352 </td>
  <td align="center"> 1.7333 </td>
</tr>
<tr>
  <td align="center"> 57&deg; </td>
  <td align="center"> 0.57787 </td>
  <td align="center"> 0.54464 </td>
  <td align="center"> 0.088267 </td>
  <td align="center"> 2.4720 </td>
  <td align="center"> 0.68022 </td>
  <td align="center"> 1.4415 </td>
  <td align="center"> 1.7206 </td>
</tr>
<tr>
  <td align="center"> 60&deg; </td>
  <td align="center"> 0.53013 </td>
  <td align="center"> 0.50000 </td>
  <td align="center"> 0.089946 </td>
  <td align="center"> 2.4565 </td>
  <td align="center"> 0.6424 </td>
  <td align="center"> 1.5523 </td>
  <td align="center"> 1.7286 </td>
</tr>
<tr>
  <td align="center"> 61&deg; </td>
  <td align="center"> 0.51373 </td>
  <td align="center"> 0.48481 </td>
  <td align="center"> 0.090068 </td>
  <td align="center"> 2.4554 </td>
  <td align="center"> 0.6292 </td>
  <td align="center"> 1.5964 </td>
  <td align="center"> 1.7329 </td>
</tr>
<tr>
  <td align="center"> 62&deg; </td>
  <td align="center"> 0.49714 </td>
  <td align="center"> 0.46947 </td>
  <td align="center"> 0.089977 </td>
  <td align="center"> 2.4562 </td>
  <td align="center"> 0.6157 </td>
  <td align="center"> 1.6450 </td>
  <td align="center"> 1.7382 </td>
</tr>
<tr>
  <td align="center"> 63&deg; </td>
  <td align="center"> 0.48040 </td>
  <td align="center"> 0.45399 </td>
  <td align="center"> 0.089689 </td>
  <td align="center"> 2.4589 </td>
  <td align="center"> 0.6019 </td>
  <td align="center"> 1.6984 </td>
  <td align="center"> 1.7443 </td>
</tr>
<tr>
  <td align="center"> 66&deg; </td>
  <td align="center"> 0.42898 </td>
  <td align="center"> 0.40674 </td>
  <td align="center"> 0.087201 </td>
  <td align="center"> 2.48202 </td>
  <td align="center"> 0.5588 </td>
  <td align="center"> 1.8959 </td>
  <td align="center"> 1.7694 </td>
</tr>
<tr>
  <td align="center"> 71&deg; </td>
  <td align="center"> 0.34052 </td>
  <td align="center"> 0.32557 </td>
  <td align="center"> 0.077474 </td>
  <td align="center"> 2.5818 </td>
  <td align="center"> 0.4804 </td>
  <td align="center"> 2.4178 </td>
  <td align="center"> 1.8399 </td>
</tr>
<tr>
  <td align="center"> 72&deg; </td>
  <td align="center"> 0.32254 </td>
  <td align="center"> 0.30902 </td>
  <td align="center"> 0.074648 </td>
  <td align="center"> 2.6140 </td>
  <td align="center"> 0.4636 </td>
  <td align="center"> 2.5679 </td>
  <td align="center"> 1.8598 </td>
</tr>
<tr>
  <td align="center"> 75&deg; </td>
  <td align="center"> 0.26827 </td>
  <td align="center"> 0.25882 </td>
  <td align="center"> 0.064426 </td>
  <td align="center"> 2.7455 </td>
  <td align="center"> 0.4110 </td>
  <td align="center"> 3.1728 </td>
  <td align="center"> 1.9359 </td>
</tr>
<tr>
  <td align="center"> 79&deg; </td>
  <td align="center"> 0.19569 </td>
  <td align="center"> 0.19081 </td>
  <td align="center"> 0.047111 </td>
  <td align="center"> 3.0475 </td>
  <td align="center"> 0.3342 </td>
  <td align="center"> 4.6471 </td>
  <td align="center"> 2.0951 </td>
</tr>
<tr>
  <td align="center" colspan="8">
[[File:P0Diagram.png|600px|Roche, Darwin, and Chandrasekhar p=0]]
  </td>
</tr>
</table>


===References===
===References===
Line 365: Line 2,563:
* [http://adsabs.harvard.edu/abs/1993ApJ...406L..63L Lai, Rasio, &amp; Shapiro (1993a, ApJL, 406, L63)]
* [http://adsabs.harvard.edu/abs/1993ApJ...406L..63L Lai, Rasio, &amp; Shapiro (1993a, ApJL, 406, L63)]
* [http://adsabs.harvard.edu/abs/1993ApJS...88..205L Lai, Rasio, &amp; Shapiro (1993b, ApJS, 88, 205)]
* [http://adsabs.harvard.edu/abs/1993ApJS...88..205L Lai, Rasio, &amp; Shapiro (1993b, ApJS, 88, 205)]
* [https://arxiv.org/abs/gr-qc/9909055 Y. Eriguchi &amp; K. Uryu (1999, Prog. Theor. Phys. Suppl., 136, 199-215)] ''Darwin-Riemann Problems in Newtonian Gravity''; see also [http://adsabs.harvard.edu/cgi-bin/bib_query?arXiv:gr-qc/9909055 ADS reference]





Latest revision as of 04:05, 2 March 2017


Instabilities Associated with Equilibrium Sequence Turning Points

Detailed derivations and discussions that underpin this chapter can be found in a chapter of our Ramblings Appendix.

Whitworth's (1981) Isothermal Free-Energy Surface
|   Tiled Menu   |   Tables of Content   |  Banner Video   |  Tohline Home Page   |

Statement of the Problem

We can construct detailed force-balance (DFB) models of spherically symmetric, isolated polytropes over the entire range of polytropic indexes: <math>~\infty \ge n \ge 0</math>. Given that, <math>~\gamma = (n+1)/n</math>, this corresponds to the range of adiabatic exponents, <math>~1 \le \gamma \le \infty</math>. These configurations are known to be dynamically stable if <math>~n < 3</math>; that is, if <math>~\gamma > 4/3</math>. How do we know the answer to this stability question?

  • An analytic free-energy analysis tells us that <math>~\partial^2 \mathfrak{G}/\partial R^2 > 0</math> (i.e., the system is dynamically unstable) for models having polytropic indexes, <math>~n > 3</math>;
  • Linear stability analyses, performed numerically, tell us that the square of the system's fundamental-mode eigenfrequency is negative for models having <math>~\gamma < 4/3</math>.



Work-in-progress.png

Material that appears after this point in our presentation is under development and therefore
may contain incorrect mathematical equations and/or physical misinterpretations.
|   Go Home   |


Example Equilibrium Sequences

Consider a binary star system (or a planet/satellite system) in which both components are uniform in density, but in which one of the components — the secondary of mass <math>~M^'</math> — is much more compact <math>~(R^' \ll R)</math> and perhaps, also, much more massive than the other component — the primary of mass <math>~M</math>. The tidal stresses exerted by the secondary on the primary will deform the primary into a nonspherical shape that, to a reasonably high degree of satisfaction, can be described as an ellipsoid having semi-axes <math>~a_1 > a_2 > a_3</math> and a volume-preserving "radius," <math>~R \equiv (a_1 a_2 a_3)^{1 / 3} = 3M/(4\pi)</math>.


Equation of State Considerations

Spherically symmetric, self-gravitating, equilibrium configurations can be constructed from gases exhibiting a wide variety of degrees of compressibility. When examining how the internal structure of such configurations varies with compressibility, or when examining the relative stability of such structures, it can be instructive to construct models using a polytropic equation of state,

<math>~P = K_\mathrm{n} \rho^{1+1/n}</math>


because the degree of compressibility can be adjusted by simply changing the value of the polytropic index, <math>~n</math>, across the range, <math>~0 \le n \le \infty</math>. (Alternatively, one can vary the effective adiabatic exponent of the gas, <math>~\Gamma = 1 + 1/n</math>.) In particular, <math>~n = 0 ~~ (\Gamma = \infty)</math> represents a hard equation of state and describes an incompressible configuration, while <math>~n = \infty ~~(\Gamma = 1)</math> represents an isothermal and extremely soft equation of state.


As has been detailed in an accompanying discussion, the structural properties of spherical polytropes can be described entirely in terms of a dimensionless radial coordinate, <math>~\xi</math>, and by the radial dependence of the dimensionless enthalpy function, <math>~\theta_n(\xi)</math>, and its first radial derivative, <math>~\theta^'_n(\xi)</math>. At the center of each configuration <math>~(\xi=0)</math>, <math>~\theta_n = 1</math> and <math>~\theta^'_n = 0</math>. The surface of each isolated polytrope is identified by the radial coordinate, <math>~\xi_1</math>, at which <math>~\theta_n</math> first drops to zero. As a class, isolated polytropes exhibit three attributes that are especially key in the context of our present discussion:

  1. The equilibrium structure is dynamically stable if <math>~n < 3</math>.
  2. The equilibrium structure has a finite radius if <math>~n < 5</math>.
  3. The equilibrium structure can be described in terms of closed-form analytic expressions for <math>~n = 0</math>, <math>~n = 1</math>, and <math>~n = 5</math>.


Isothermal spheres are discussed in a wide variety of astrophysical contexts because it is not uncommon for physical conditions to conspire to create an extended volume throughout which a configuration exhibits uniform temperature. But, as can be surmised from our list of three key polytrope attributes and recognition that equilibrium isothermal configurations are polytropes with index <math>~n=\infty</math>, mathematical models of isolated isothermal spheres are relatively cumbersome to analyze because they extend to infinity, they are dynamically unstable, and they are not describable in terms of analytic functions. In such astrophysical contexts, we have sometimes found it advantageous to employ an <math>~n=5</math> polytrope instead of an isothermal sphere. An isolated <math>~n=5</math> polytrope can serve as an effective surrogate for an isothermal sphere because it is both infinite in extent and dynamically unstable, but it is less cumbersome to analyze because its structure can be described by closed-form analytic expressions.


Bonnor-Ebert Sphere

In the mid-1950s, Ebert (1955) and Bonnor (1956) independently realized that an equilibrium isothermal gas cloud can be constructed with a finite radius by embedding it in a hot, tenuous external medium. As has been described in an accompanying chapter, the relevant mathematical model is constructed by chopping off the isolated isothermal sphere at some finite radius — call it, <math>~\xi_e</math> — and imposing an externally applied pressure, <math>~P_e</math>, that is equal to the pressure of the isothermal gas at the specified edge of the truncated sphere. By varying <math>~\xi_e</math>, a sequence of equilibrium models can be constructed, as illustrated in Figure 1.

Figures from (left) Ebert (1955) and (center) Bonnor (1956)

Our Construction

Ebert (1955) Figure 2
Bonnor (1956, MNRAS, 116, 351)
Bonnor (1956, MNRAS, 116, 351)


Figures from (left) Ebert (1955) and (right) Bonnor (1956)

Ebert (1955) Figure 2
Bonnor (1956, MNRAS, 116, 351)

Our Analytic Analysis of n = 5 Polytropic Sequence]

P vs. R n = 5 sequence


Figure from Stahler (1983)

From our Detailed Analysis of Pressure-Truncated Polytrope Sequences

Order-of-Magnitude

Detailed Force-Balance

Stahler (1983)
M vs. R sequences for pressure-truncated polytropes
M vs. R sequences for pressure-truncated polytropes

Schönberg-Chandrasekhar Mass

Figures from (left) Henrich & Chandraskhar (1941) and (center) Schönberg & Chandrasekhar (1942)

Bipolytropes with <math>~(n_c,n_e) = (5,1)</math>

HenrichChandra41b.jpg
SC42 Fig1.jpg
SC 42EvolutionArrows.png


Figures from (left) Henrich & Chandraskhar (1941) and (center) Schönberg & Chandrasekhar (1942)

Bipolytropes with <math>~(n_c,n_e) = (5,1)</math>

HenrichChandra41b.jpg
SC42 Fig1.jpg
Qvsnu51b2.png


In the early 1940s, Chandrasekhar and his colleagues (see Henrich & Chandraskhar (1941) and Schönberg & Chandrasekhar (1942)) discovered that a star with an isothermal core will become unstable if the fractional mass of the core is above some limiting value. They discovered this by constructing models that are now commonly referred to as composite polytropes or bipolytropes, that is, models in which the star's core is described by a polytropic equation of state having one index — say, <math>~n_c</math> — and the star's envelope is described by a polytropic equation of state of a different index — say, <math>~n_e</math>. In an accompanying discussion we explain in detail how the two structural components with different polytropic indexes are pieced together mathematically to build equilibrium bipolytropes. For a given choice of the two indexes, <math>~n_c</math> and <math>~n_e</math>, a sequence of models can be generated by varying the radial location at which the interface between the core and envelope occurs. As the interface location is varied, the relative amount of mass enclosed inside the core, <math>~\nu \equiv M_\mathrm{core}/M_\mathrm{tot}</math>, quite naturally varies as well.

Henrich & Chandraskhar (1941) built structures of uniform composition having an isothermal core (<math>~n_c = \infty</math>) and an <math>~n_e = 3/2</math> polytropic envelope and found that equilibrium models exist only for values of <math>~\nu \le \nu_\mathrm{max} \approx 0.35</math>. Schönberg & Chandrasekhar (1942) extended this analysis to include structures in which the mean molecular weight of the gas changes discontinuously across the interface. Specifically, they used the same values of <math>~n_c</math> and <math>~n_e</math> as Henrich & Chandrasekhar, but they constructed models in which the ratio of the molecular weight in the core to the molecular weight in the envelope is <math>~\mu_c/\mu_e = 2</math>. This was done to more realistically represent stars as they evolve off the main sequence; they have inert, isothermal helium cores and envelopes that are rich in hydrogen. Note that introducing a discontinuous drop in the mean molecular weight at the core-envelope interface also introduces a discontinuous drop in the gas density across the interface. As the following excerpt from p. 168 of their article summarizes, in these models, Schönberg & Chandrasekhar (1942) found that <math>~\nu_\mathrm{max} \approx 0.101</math>. This is commonly referred to as the Schönberg-Chandrasekhar mass limit, although it was Henrich & Chandrasekhar who were the first to identify the instability.

Text excerpt from Schönberg & Chandrasekhar (1942)

SC42excerpt.jpg

In an effort to develop a more complete appreciation of the onset of the instability associated with the Schönberg-Chandrasekhar mass limit, Beech (1988) matched an analytically prescribable, <math>~n_e = 1</math> polytropic envelope to an isothermal core and, like Schönberg & Chandrasekhar, allowed for a discontinuous change in the molecular weight at the interface. [For an even more comprehensive generalization and discussion, see Ball, Tout, & Żytkow (2012, MNRAS, 421, 2713)]. Beech's results were not significantly different from those reported by Schönberg & Chandrasekhar (1942); in particular, the value of <math>~\nu_\mathrm{max}</math> was still only definable numerically because an isothermal core cannot be described in terms of analytic functions.

In an accompanying derivation [see, also, Eggleton, Faulkner, and Cannon (1998, MNRAS, 298, 831)] we have gone one step farther, matching an analytically prescribable, <math>~n_e = 1</math> polytropic envelope to an analytically prescribable, <math>~n_c = 5</math> polytropic core. For this bipolytrope, we show that there is a limiting mass-fraction, <math>~\nu_\mathrm{max}</math>, for any choice of the molecular weight ratio <math>~\mu_c/\mu_e > 3</math> and that the interface location, <math>~\xi_i</math>, associated with this critical configuration is given by the positive, real root of the following relation:

<math> \biggl(\frac{\pi}{2} + \tan^{-1} \Lambda_i\biggr) (1+\ell_i^2) [ 3 + (1-m_3)^2(2-\ell_i^2)\ell_i^2] - m_3 \ell_i [(1-m_3)\ell_i^4 - (m_3^2 - m_3 +2)\ell_i^2 - 3] = 0 \, , </math>

where,

<math> \ell_i \equiv \frac{\xi_i}{\sqrt{3}} \, ; </math>             <math> m_3 \equiv 3 \biggl( \frac{\mu_c}{\mu_e} \biggr)^{-1} \, ; </math>       and       <math> \Lambda_i \equiv \frac{1}{m_3\ell_i} [ 1 + (1-m_3)\ell_i^2] \, . </math>

Analysis by Yabushita (1975)

It appears as though the first analysis that asked the same set of questions we have asked regarding the type of stability that is associated with turning points is the one published by S. Yabushita (1975) and titled, On the Structure and Stability of a Polytrope with an Isothermal Core.

From the article's summary (abstract) alone — immediately following — we note the following key points;

  • Yabushita (1975) builds an equilibrium sequence for <math>~(n_c, n_e) = (\infty, \tfrac{3}{2})</math> bipolytropes and identifies a maximum-mass turning point along the sequence.
  • A solution of the relevant LAWE shows that the "dynamical instability sets in precisely at the mass peak," if the adopted adiabatic index is the same as the <math>~\gamma = d\ln\rho/d\ln r</math> calculated by the equation(s) of state governing the unperturbed state.

Summary (Abstract) from Yabushita (1975)

Then we see, from the article's introductory paragraphs that Yabushita …

  • Understands that it is useful to analyze stability from both a free-energy (virial theorem) standpoint and a linear stability (radial oscillations) analysis — see the following reproduction of the first introductory paragraph.

Introductory paragraph from Yabushita (1975)

  • Understands that a strong analogy can be drawn between the behavior of pressure-truncated and bipolytropic sequences —  "This will enable one to see the effect of an envelope on the stability of isothermal gas spheres (Yabushita 1968) which otherwise will extend to infinity."

It might be worth looking at the following publications:

  • M. Gabriel &amp P. Ledoux (1967): Yabushita says,
  • [ S. Chandrasekhar (1972) General Relativity]: Yabushita says, It is Chandrasekhar (1972) who first showed the analogy between neutron star models and a gaseous sphere with an isothermal core and an envelope with constant density.

Close Binary Stars

Extracted from p. 162 of G. H. Darwin (1906)

Darwin (1906) Preface


Simplistic Illustrative Model

Using Our Adopted Notation

Consider the simple model of two spherical stars in circular orbit about one another, as depicted here on the right. In addition to the physical parameters explicitly labeled in this diagram, we adopt the following variable notation:

  • The total system mass is,

<math>~M_\mathrm{tot} \equiv M + M^' \, ;</math>

  • The ratio of the primary to secondary mass is,

<math>~\lambda \equiv \frac{M}{M^'} \, ;</math>

  • And the separation between the two centers is,

<math>~d \equiv r_\mathrm{cm} + r^'_\mathrm{cm} \, .</math>

Simple Binary Model

For a circular orbit, the angular velocity is related to the the system mass and separation via the Kepler relation,

<math>~\omega^2 d^3 = GM_\mathrm{tot} \, ,</math>

and the distances, <math>~r_\mathrm{cm}</math> and <math>~r^'_\mathrm{cm}</math>, between the center of each star and the center of mass (cm) of the system must be related to one another via the expression,

<math>~\frac{r^'_\mathrm{cm}}{r_\mathrm{cm}} </math>

<math>~=</math>

<math>~\frac{M}{M^'} = \lambda \, .</math>

Note that the following relations also hold:

<math>~M = M_\mathrm{tot} \biggl( \frac{\lambda}{1+\lambda}\biggr)</math>

      and      

<math>~M^' = M_\mathrm{tot} \biggl( \frac{1}{1+\lambda}\biggr)</math>

<math>~r_\mathrm{cm} = d \biggl( \frac{1}{1+\lambda}\biggr) \, ;</math>

      and      

<math>~r^'_\mathrm{cm} = d \biggl( \frac{\lambda}{1+\lambda}\biggr) \, .</math>

Hence, the orbital angular momentum is,

<math>~L_\mathrm{orb}</math>

<math>~=</math>

<math>~ [M r^2_\mathrm{cm} + M^' (r^'_\mathrm{cm})^2]\omega </math>

 

<math>~=</math>

<math>~ M_\mathrm{tot} d^2 \biggl[\biggl( \frac{\lambda}{1+\lambda}\biggr) \biggl( \frac{1}{1+\lambda}\biggr)^2 + \biggl( \frac{1}{1+\lambda}\biggr) \biggl( \frac{\lambda}{1+\lambda}\biggr)^2 \biggr] \biggl[\frac{GM_\mathrm{tot}}{d^3}\biggr]^{1 / 2} </math>

 

<math>~=</math>

<math>~ (G M_\mathrm{tot}^3 d)^{1 / 2} \biggl[\frac{\lambda}{(1+\lambda)^2} \biggr] \, .</math>

Assuming that both stars are rotating synchronously with the orbit, their respective spin angular momenta are,

<math>~L_M = I_M \omega</math>

<math>~=</math>

<math>~\frac{2}{5}MR^2 \omega</math>

 

<math>~=</math>

<math>~\frac{2}{5}M_\mathrm{tot} \biggl(\frac{\lambda}{1+\lambda}\biggr) R^2 \biggl[ \frac{G M_\mathrm{tot}}{d^3} \biggr]^{1 / 2}</math>

 

<math>~=</math>

<math>~\frac{2}{5}(GM_\mathrm{tot}^3 d)^{1 / 2} \biggl(\frac{\lambda}{1+\lambda}\biggr) \biggl( \frac{R}{d}\biggr)^2 \, ,</math>

<math>~L_{M^'} = I_{M^'} \omega</math>

<math>~=</math>

<math>~\frac{2}{5}{M^'}(R^')^2 \omega</math>

 

<math>~=</math>

<math>~\frac{2}{5}M_\mathrm{tot} \biggl(\frac{1}{1+\lambda}\biggr) (R^')^2 \biggl[ \frac{G M_\mathrm{tot}}{d^3} \biggr]^{1 / 2}</math>

 

<math>~=</math>

<math>~\frac{2}{5}(GM_\mathrm{tot}^3 d)^{1 / 2} \biggl(\frac{1}{1+\lambda}\biggr) \biggl( \frac{R^'}{d}\biggr)^2 \, .</math>

Hence, the total angular momentum of the system is,

<math>~L_\mathrm{tot} = L_\mathrm{orb} + L_M + L_{M^'}</math>

<math>~=</math>

<math>~ (G M_\mathrm{tot}^3 d)^{1 / 2} \biggl[\frac{\lambda}{(1+\lambda)^2} \biggr] + \frac{2}{5}(GM_\mathrm{tot}^3 d)^{1 / 2} \biggl(\frac{\lambda}{1+\lambda}\biggr) \biggl( \frac{R}{d}\biggr)^2 </math>

 

 

<math>~ + \frac{2}{5}(GM_\mathrm{tot}^3 d)^{1 / 2} \biggl(\frac{1}{1+\lambda}\biggr) \biggl( \frac{R^'}{d}\biggr)^2 </math>

 

<math>~=</math>

<math>~ (G M_\mathrm{tot}^3 R)^{1 / 2} \biggl\{ \biggl[\frac{\lambda}{(1+\lambda)^2} \biggr] \biggl( \frac{d}{R}\biggr)^{1 / 2} + \frac{2}{5} \biggl(\frac{1}{1+\lambda}\biggr)\biggl[ \lambda + \biggl( \frac{R^'}{R}\biggr)^{2} \biggr] \biggl( \frac{d}{R}\biggr)^{-3/2} \biggr\} </math>

If we assume that the two stars have the same (uniform) densities, <math>~\rho</math>, then, following Darwin (1906; see immediately below), the two stellar radii can be related to the mass ratio, <math>~\lambda</math> via the expressions,

<math>~R = a\biggl( \frac{\lambda}{1+\lambda}\biggr) \, ,</math>

      and      

<math>~R^' = a\biggl( \frac{1}{1+\lambda}\biggr) \, ,</math>

where, the characteristic length scale is,

<math>a \equiv \biggl(\frac{3M_\mathrm{tot}}{4\pi \rho}\biggr)^{1 / 3} \, .</math>

Replacing <math>~R</math> and <math>~R^'</math> by these expressions in our equation for <math>~L_\mathrm{tot}</math> results in the simplistic/illustrative expression for <math>~L_1</math> derived by Darwin (1906) and presented in the boxed-in image, below. Darwin's expression for <math>~L_2</math> is obtained by using the same expression for <math>~R</math> but treating the secondary as a point mass, that is, setting <math>~R^' = 0</math>.

Darwin's (1906) Equivalent Illustration

From Pt. I, §1 (p. 164) of G. H. Darwin (1906)verbatum text in green: It will be useful to make a rough preliminary investigation of the regions in which we shall have to look for cases of limiting stability in the two problems. For this purpose I consider [1] the case of two spheres as the analogue of [Darwin's] problem of the figure of equilibrium, and [2] the case of a sphere and a particle as the analogue of Roche's problem.


… let the mass of the whole system be <math>~M_\mathrm{tot} = \tfrac{4}{3}\pi \rho a^3</math>; let the masses of the two spheres be

<math>~M = M_\mathrm{tot} \biggl[\frac{\lambda}{1+\lambda}\biggr] </math>

      and      

<math>~M^' = M_\mathrm{tot} \biggl[\frac{1}{1+\lambda}\biggr] </math>

      <math>~\Rightarrow</math>      

<math>~\lambda = \frac{M}{M^'}</math>

or for Roche's problem let the latter <math>~(M^')</math> be the mass of the particle. Assuming that both spheres have the same characteristic density, <math>~\rho</math>, that has been used to specify the total mass, we furthermore know that the radius of the first sphere is,

<math>~a_M</math>

<math>~=</math>

<math>~\biggl(\frac{M}{\tfrac{4}{3}\pi \rho}\biggr)^{1 / 3} = a \biggl(\frac{\lambda}{1+\lambda}\biggr)^{1 / 3} \, ,</math>

and (for the Darwin problem) the radius of the second sphere is,

<math>~a_{M^'}</math>

<math>~=</math>

<math>~\biggl(\frac{M^'}{\tfrac{4}{3}\pi \rho}\biggr)^{1 / 3} = a\biggl(\frac{1 }{1+\lambda}\biggr)^{1 / 3} \, .</math>

Let <math>~r</math> be the distance from the centre of one sphere to that of the other, or to the particle, as the case may be; and <math>~\omega</math> the orbital angular velocity, where

<math>~\omega^2 r^3</math>

<math>~=</math>

<math>~GM_\mathrm{tot} \, .</math>

The centre of inertia of the two masses is distant <math>~r/(1+\lambda)</math> and <math>~\lambda r/(1+\lambda)</math> from their respective centres, and we easily find the orbital momentum to be

<math>~L_\mathrm{orb} </math>

<math>~=</math>

<math>~M \biggl(\frac{r}{1+\lambda}\biggr)^2\omega + M^' \biggl(\frac{\lambda r}{1+\lambda}\biggr)^2\omega</math>

 

<math>~=</math>

<math>~M_\mathrm{tot} \biggl[ \biggl(\frac{\lambda}{1+\lambda}\biggr)\biggl(\frac{1}{1+\lambda}\biggr)^2\omega + \biggl(\frac{1}{1+\lambda}\biggr) \biggl(\frac{\lambda }{1+\lambda}\biggr)^2 \biggr] r^2 \omega</math>

 

<math>~=</math>

<math>~M_\mathrm{tot} \biggl[ \frac{\lambda}{(1+\lambda)^2} \biggr] r^2\omega \, .</math>

In both problems the rotational momentum of the first sphere is

<math>~L_\mathrm{M} = \frac{2}{5} Ma_M^2 \omega</math>

<math>~=</math>

<math>~ \frac{2}{5} M_\mathrm{tot}\biggl( \frac{\lambda}{1+\lambda} \biggr) \biggl(\frac{\lambda}{1+\lambda}\biggr)^{2 / 3}a^2 \omega =\frac{2}{5} M_\mathrm{tot} \biggl(\frac{\lambda}{1+\lambda}\biggr)^{5 / 3}a^2 \omega \, . </math>

In the [Darwin] problem the rotational momentum of the second sphere is

<math>~L_\mathrm{M^'} = \frac{2}{5} M^' a_{M^'}^2 \omega</math>

<math>~=</math>

<math>~ \frac{2}{5} M_\mathrm{tot}\biggl( \frac{1}{1+\lambda} \biggr) \biggl(\frac{1}{1+\lambda}\biggr)^{2 / 3}a^2 \omega =\frac{2}{5} M_\mathrm{tot} \biggl(\frac{1}{1+\lambda}\biggr)^{5 / 3}a^2 \omega \, , </math>

and in the [Roche] problem it is nil.

If, then, we write <math>~L_1</math> for the total angular momentum of the two spheres, and <math>~L_2</math> for that of the sphere and particle, we have

<math>~L_1 </math>

<math>~=</math>

<math>~ L_\mathrm{orb} + L_M + L_{M^'} </math>

 

<math>~=</math>

<math>~ M_\mathrm{tot} \biggl[ \frac{\lambda}{(1+\lambda)^2} \biggr] r^2\omega + \frac{2}{5} M_\mathrm{tot} \biggl(\frac{\lambda}{1+\lambda}\biggr)^{5 / 3}a^2 \omega + \frac{2}{5} M_\mathrm{tot} \biggl(\frac{1}{1+\lambda}\biggr)^{5 / 3}a^2 \omega</math>

 

<math>~=</math>

<math>~ M_\mathrm{tot} a^2 \omega \biggl[ \frac{\lambda r^2}{(1+\lambda)^2a^2} + \frac{2}{5} \frac{1+ \lambda^{5/3}}{(1+\lambda)^{5 / 3}} \biggr] \, , </math>

<math>~L_2 </math>

<math>~=</math>

<math>~ L_\mathrm{orb} + L_M </math>

 

<math>~=</math>

<math>~ M_\mathrm{tot} a^2 \omega \biggl[ \frac{\lambda r^2}{(1+\lambda)^2a^2} + \frac{2}{5} \frac{\lambda^{5/3}}{(1+\lambda)^{5 / 3}} \biggr] \, . </math>

For comparison, in the context of the LRS93b discussion of Compressible Roche Ellipsoids, the total angular momentum is,

<math>~J</math>

<math>~=</math>

<math>~\biggl[\frac{Mr^2}{(1+\lambda)} + I \biggr] \Omega \, ,</math>

where (see their equation 4.8),

<math>~I</math>

<math>~=</math>

<math>~\frac{1}{5} \kappa_n (a_1^2 + a_2^2)M \, ,</math>

and, for incompressible configurations, <math>~\kappa_{n=0} = 1</math>. This gives,

<math>~J</math>

<math>~=</math>

<math>~M_\mathrm{tot} \biggl( \frac{\lambda}{1+\lambda}\biggr) a_1^2 \Omega \biggl[\frac{r^2}{(1+\lambda)a_1^2} + \frac{1}{5}\biggl(1 + \frac{a_2^2}{a_1^2}\biggr) \biggr] \, .</math>

On substituting for <math>~\omega</math> its value in terms of <math>~r</math>, these expressions become

<math>~L_1 </math>

<math>~=</math>

<math>~(GM_\mathrm{tot}^3 a)^{1 / 2} \biggl( \frac{a}{r} \biggr)^{3/2} \biggl[ \frac{2}{5} \frac{1+ \lambda^{5/3}}{(1+\lambda)^{5 / 3}} + \frac{\lambda r^2}{(1+\lambda)^2a^2} \biggr] </math>

 

<math>~=</math>

<math>~(GM_\mathrm{tot}^3 a)^{1 / 2} \frac{1}{(1+\lambda)^2} \biggl[ \frac{2}{5} (1+ \lambda^{5/3}) (1+\lambda)^{1 / 3}\biggl( \frac{a}{r} \biggr)^{3/2} + \lambda \biggl( \frac{r}{a} \biggr)^{1 / 2}\biggr] \, , </math>

<math>~L_2 </math>

<math>~=</math>

<math>~ (GM_\mathrm{tot}^3 a)^{1 / 2} \biggl( \frac{a}{r} \biggr)^{3/2} \biggl[ \frac{2}{5} \frac{\lambda^{5/3}}{(1+\lambda)^{5 / 3}} + \frac{\lambda r^2}{(1+\lambda)^2a^2} \biggr] </math>

 

<math>~=</math>

<math>~(GM_\mathrm{tot}^3 a)^{1 / 2} \frac{1}{(1+\lambda)^2} \biggl[ \frac{2}{5} \lambda^{5/3} (1+\lambda)^{1 / 3}\biggl( \frac{a}{r} \biggr)^{3/2} + \lambda \biggl( \frac{r}{a} \biggr)^{1 / 2} \biggr] \, . </math>

As is shown in the following boxed-in image, (after setting <math>~G = 1</math>) this matches the pair of equations that appears immediately following equation (1) in G. H. Darwin (1906).

Equations extracted without modification from G. H. Darwin (1906)

Darwin (1906) Eq. 1b

In the following figure we have plotted, for both problems, how the total angular momentum varies with orbital separation. In order to facilitate a direct comparison with Figure 1 from LRS, in place of the dimensionless separation <math>~r/a</math> we plot along the abscissa the quantity, <math>~r_\mathrm{LRS}/R</math>, where, <math>~r_\mathrm{LRS}</math> is the radius of the circular orbit and <math>~R</math> is the radius of the primary star; that is,

<math>~r_\mathrm{LRS} = \tfrac{1}{2}r</math>

      and      

<math>~R = a_M</math>

      <math>~\Rightarrow</math>      

<math>~\frac{r_\mathrm{LRS}}{R} = \frac{1}{2} \biggl(\frac{1+\lambda}{\lambda}\biggr)^{1 / 3} \frac{r}{a} \, .</math>

<math>~r_\mathrm{LRS} = \tfrac{1}{2}r</math>

      and      

<math>~R = a_M</math>

      <math>~\Rightarrow</math>      

<math>~\frac{r}{a} = 2 \biggl(\frac{\lambda}{1+\lambda}\biggr)^{1 / 3} \frac{r_\mathrm{LRS}}{R} \, .</math>

Rewriting Darwin's pair of angular momentum expressions in terms of this preferred dimensionless separation, we have,

<math>~L_1 </math>

<math>~=</math>

<math>~(GM_\mathrm{tot}^3 a)^{1 / 2} \frac{1}{(1+\lambda)^2} \biggl\{ \frac{2}{5} (1+ \lambda^{5/3}) (1+\lambda)^{1 / 3}\biggl[ 2 \biggl(\frac{\lambda}{1+\lambda}\biggr)^{1 / 3} \frac{r_\mathrm{LRS}}{R} \biggr]^{-3/2} + \lambda \biggl[ 2 \biggl(\frac{\lambda}{1+\lambda}\biggr)^{1 / 3} \frac{r_\mathrm{LRS}}{R} \biggr]^{1 / 2} \biggr\} </math>

 

<math>~=</math>

<math>~(GM_\mathrm{tot}^3 a)^{1 / 2} \frac{1}{(1+\lambda)^2} \biggl\{ \biggl( \frac{1}{2\cdot 5^2} \biggr)^{1 / 2} (1+ \lambda^{5/3}) (1+\lambda)^{1 / 3} \biggl(\frac{1+\lambda}{\lambda}\biggr)^{1 / 2} \biggl( \frac{r_\mathrm{LRS}}{R} \biggr)^{-3/2} + 2^{1 / 2}\lambda \biggl(\frac{\lambda}{1+\lambda}\biggr)^{1 / 6} \biggl( \frac{r_\mathrm{LRS}}{R} \biggr)^{1 / 2} \biggr\} \, , </math>

<math>~L_2 </math>

<math>~=</math>

<math>~(GM_\mathrm{tot}^3 a)^{1 / 2} \frac{1}{(1+\lambda)^2} \biggl\{ \frac{2}{5} \lambda^{5/3} (1+\lambda)^{1 / 3}\biggl[ 2 \biggl(\frac{\lambda}{1+\lambda}\biggr)^{1 / 3} \frac{r_\mathrm{LRS}}{R} \biggr]^{-3/2} + \lambda \biggl[ 2 \biggl(\frac{\lambda}{1+\lambda}\biggr)^{1 / 3} \frac{r_\mathrm{LRS}}{R} \biggr]^{1 / 2} \biggr\} </math>

 

<math>~=</math>

<math>~(GM_\mathrm{tot}^3 a)^{1 / 2} \frac{1}{(1+\lambda)^2} \biggl\{ \biggl( \frac{1}{2\cdot 5^2} \biggr)^{1 / 2} \lambda^{5/3} (1+\lambda)^{1 / 3} \biggl(\frac{1+\lambda}{\lambda}\biggr)^{1 / 2} \biggl( \frac{r_\mathrm{LRS}}{R} \biggr)^{-3/2} + 2^{1 / 2}\lambda \biggl(\frac{\lambda}{1+\lambda}\biggr)^{1 / 6} \biggl( \frac{r_\mathrm{LRS}}{R} \biggr)^{1 / 2} \biggr\} \, . </math>

Note that the two binary components come into contact when, for the Darwin problem,

<math>~a_M + a_{M^'} = r</math>

      <math>~\Rightarrow</math>      

<math>~\frac{r}{a} = \frac{1 + \lambda^{1 / 3}}{(1+\lambda)^{1 / 3}} \, ; </math>

and, for the Roche problem,

<math>~a_M = r</math>

      <math>~\Rightarrow</math>      

<math>~\frac{r}{a} = \frac{\lambda^{1 / 3}}{(1+\lambda)^{1 / 3}} \, . </math>

Setup

Jeans (1919)

From § 50 (p. 46) of J. H. Jeans (1919)verbatum text in green: Let the two bodies be spoken of as primary and secondary, and let their masses be <math>~M</math>, <math>~M^'</math> respectively; let the distance apart of their centres of gravity be <math>~R</math>, and let the angular velocity of rotation of the line joining them be <math>~\omega</math>. It will be sufficient to fix our attention on the conditions of equilibrium of one of the two masses, say the primary. Let its centre of gravity be taken as origin, let the line joining it to the centre of the secondary be axis of <math>~x</math>, and let the plane in which the rotation takes place be that of <math>~xy</math>. Then the equation of the axis of rotation is

<math>~x = \frac{M^'}{M + M^'} ~ R</math>

      and      

<math>~y = 0 \, .</math>

The problem may be reduced to a statical one (cf. § 31) by supposing the masses acted on by a field of force of [the centrifugal] potential

<math>~\frac{1}{2}\omega^2\biggl[ \biggl( x - \frac{M^' }{M + M^'} ~R \biggr)^2 + y^2\biggr] \, .</math>

Chandrasekhar (1969)

From pp. 189-190 of [EFE] — verbatum text in green: Let the masses of the primary and the secondary be <math>~M</math> and <math>~M^'</math>, respectively; let the distance between their centers of mass be <math>~R</math>; and let the constant angular velocity of rotation about their common center of mass be <math>~\Omega</math>. Choose a coordinate system in which the origin is at the center of mass of the primary, the <math>~x_1-</math>axis points to the center of mass of the secondary, and the <math>~x_3-</math>axis is parallel to the direction of <math>~\vec\Omega</math>. In this coordinate system, the equation of motion governing fluid elements of <math>~M</math> includes (see EFE's equation 1) a gradient of the centrifugal potential,

<math>~\frac{1}{2}\Omega^2\biggl[ \biggl( x_1 - \frac{M^' R}{M + M^'} \biggr)^2 + x_2^2\biggr] \, .</math>

Tassoul (1978)

From p. 449 of [T78] — verbatum text in green: Let the masses of the primary and the secondary be <math>~M</math> and <math>~M^'</math>, respectively; let the distance between their centers of mass be <math>~d</math>; and let the angular velocity of rotation about their common center of mass be <math>~\Omega</math>. Next choose a system of reference in which the origin is at the center of mass of the primary; for convenience, the <math>~x_1-</math>axis points toward the center of mass of the secondary, and the <math>~x_3-</math>axis is parallel to the direction of <math>~\vec\Omega</math>. Then, the equation of the rotation axis, which of course passes through the center of mass of the two bodies, is

<math>~x_1 = \frac{M^' }{M + M^'} ~d</math>

      and      

<math>~x_2 = 0 \, .</math>

Accordingly, the centrifugal force acting on the mass <math>~M</math> may be derived from the potential

<math>~-\frac{1}{2}\Omega^2\biggl[ \biggl( x_1 - \frac{M^'}{M + M^'} ~ d\biggr)^2 + x_2^2\biggr] \, .</math>

Roche Ellipsoids

Jeans (1919)

From § 51 (p. 47) of J. H. Jeans (1919)verbatum text in green: The simplest problem occurs when the secondary may be treated as a rigid sphere; this is the special problem dealt with by Roche. As in § 47 the tide-generating potential acting on the primary may be supposed to be

<math>~\frac{M^'}{R} + \frac{M^'}{R^2} x + \frac{M^'}{R^3}(x^2 - \tfrac{1}{2}y^2 - \tfrac{1}{2}z^2) + \cdots </math>

We shall for the present be content to omit all terms beyond those written down. The correction required by the neglect of these terms will be discussed later, and will be found to be so small that the results now to be obtained are hardly affected.

On omitting these terms, and combining the two potentials … it appears that the primary may be supposed influenced by a statical field of potential

<math>~\frac{M^'}{R} x\biggr(1 - \frac{\omega^2 R^3}{M + M^'}\biggr) + \frac{M^'}{R^3}(x^2 - \tfrac{1}{2}y^2 - \tfrac{1}{2}z^2) + \tfrac{1}{2}\omega^2(x^2 + y^2) \, .</math>

The terms in <math>~x</math> may immediately be removed by supposing <math>~\omega</math> to have the appropriate value given by

<math>~\omega^2</math>

<math>~=</math>

<math>~\frac{M+M^'}{R^3}</math>

and the condition for equilibrium is now seen to be that we shall have, at every point of the surface,

<math>~V_b + \mu (x^2 - \tfrac{1}{2}y^2 - \tfrac{1}{2}z^2) + \tfrac{1}{2}\omega^2(x^2 + y^2) </math>

<math>~=</math>

constant

where <math>~\mu</math> … stands for <math>~M^'/R^3</math> .

Chandrasekhar (1969)

From p. 190 of [EFE] — verbatum text in green: In Roche's particular problem, the secondary is treated as a rigid sphere. Then, over the primary, the tide-generating potential, <math>~\mathfrak{B}^'</math> can be expanded in the form

<math>~\mathfrak{B}^'</math>

<math>~=</math>

<math>~ \frac{GM^'}{R} \biggl( 1 + \frac{x_1}{R} + \frac{x_1^2 - \tfrac{1}{2}x_2^2 - \tfrac{1}{2}x_3^2}{R^2} + \cdots \biggr) \, ;</math>

and the approximation which underlies this theory is to retain, in this expansion for <math>~\mathfrak{B}^'</math>, only the terms which have been explicitly written down and ignore all the terms which are of higher order. On this assumption, the equation of motion becomes

<math>~\frac{du_i}{dt} + \frac{1}{\rho} \frac{\partial p}{\partial x_i}</math>

<math>~=</math>

<math>~ \frac{\partial}{\partial x_i} \biggl[ \mathfrak{B} + \tfrac{1}{2}\Omega^2(x_1^2 + x_2^2) + \mu(x_1^2 - \tfrac{1}{2}x_2^2 - \tfrac{1}{2}x_3^2) + \biggl( \frac{GM^'}{R^2} - \frac{M^' R}{M+M^'} ~\Omega^2 \biggr)x_1 \biggr] + 2\Omega \epsilon_{i\ell 3} u_\ell </math>

where we have introduced the abbreviation

<math>~\mu = \frac{GM^'}{R^3} \, .</math>

So far, we have left <math>~\Omega^2</math> unspecified. If we now let <math>~\Omega^2</math> have the "Keplerian value"

<math>~\Omega^2 = \frac{G(M+ M^')}{R^3} = \mu \biggl(1 + \frac{M}{M^'} \biggr) \, ,</math>

the "unwanted" term in <math>~x_1</math>, on the right-hand side of [this equation,] vanishes and we are left with

<math>~\frac{du_i}{dt} + \frac{1}{\rho} \frac{\partial p}{\partial x_i}</math>

<math>~=</math>

<math>~ \frac{\partial}{\partial x_i} \biggl[ \mathfrak{B} + \tfrac{1}{2}\Omega^2(x_1^2 + x_2^2) + \mu(x_1^2 - \tfrac{1}{2}x_2^2 - \tfrac{1}{2}x_3^2) \biggr] + 2\Omega \epsilon_{i\ell 3} u_\ell \, . </math>

This is the basic equation of this theory; and Roche's problem is concerned with the equilibrium and the stability of homogeneous masses governed by [this relation].


Tassoul (1978)

From pp. 449-450 of [T78] — verbatum text in green: In Roche's particular problem, the secondary is treated as a rigid sphere; hence, over the primary, the tide-generating potential can be expanded in the form

<math>~ -\frac{GM^'}{d} \biggl( 1 + \frac{x_1}{d} + \frac{x_1^2 - \tfrac{1}{2}x_2^2 - \tfrac{1}{2}x_3^2}{d^2} + \cdots \biggr) \, .</math>

The approximation that underlies the theory is to omit all terms beyond those written down. On this assumption, we find that, apart from its own gravitation, the primary may be supposed to be acted upon by a total field of force derived from the potential

<math>~-\tfrac{1}{2}\Omega^2(x_1^2 + x_x^2) - \mu(x_1^2 - \tfrac{1}{2}x_2^2 - \tfrac{1}{2}x_3^2) - \biggl(\mu - \frac{M^'}{M+M^'} \Omega^2\biggr) dx_1 \, ,</math>

where

<math>~\mu</math>

<math>~=</math>

<math>~\frac{GM^'}{d^3} \, .</math>

Further letting <math>~\Omega^2</math> have its "Keplerian value"

<math>~\Omega^2</math>

<math>~=</math>

<math>~\frac{G(M+M^')}{d^3} \, ,</math>

we can thus write the conditions of relative equilibrium for the primary in the form

<math>~\frac{1}{\rho} \nabla p</math>

<math>~=</math>

<math>~ -\nabla [ V -\tfrac{1}{2}\Omega^2(x_1^2 + x_x^2) - \mu(x_1^2 - \tfrac{1}{2}x_2^2 - \tfrac{1}{2}x_3^2) ] \, , </math>

where <math>~V</math> is the self-gravitating potential of the primary.

Incompressible Roche Ellipsoids (λ ≠ 0)

Let's see if we can understand the relationship between tabulated data presented by Lai, Rasio, & Shapiro (1993b, ApJS, 88, 205) — hereafter, LRS93S — for the case of incompressible Roche ellipsoids, when <math>~\lambda = p = 1</math>. After setting <math>~\kappa_{n=0} = 1</math> in their equation (4.8), we have,

<math>~I</math>

<math>~=</math>

<math>~\frac{1}{5}a_1^2 M \biggl( 1 + \frac{a_2^2}{a_1^2}\biggr) \, .</math>

And, from their equation (7.12),

<math>~J_\mathrm{tot}</math>

<math>~=</math>

<math>~\biggl[ \frac{Mr^2}{(1+p)} + I \biggr]\Omega \, .</math>

If we adopt the Keplerian orbital frequency, the expression for the total angular momentum is,

<math>~J_\mathrm{Kep}</math>

<math>~=</math>

<math>~\biggl[ \frac{Mr^2}{(1+p)} + \frac{1}{5}a_1^2 M \biggl( 1 + \frac{a_2^2}{a_1^2}\biggr) \biggr]\biggl[ \frac{GM_\mathrm{tot}}{r^3} \biggr]^{1/2} </math>

 

<math>~=</math>

<math>~(GM^3)^{1/2} a_1^2\biggl[ \frac{1}{(1+p)}\biggl(\frac{r}{a_1}\biggr)^2 + \frac{1}{5}\biggl( 1 + \frac{a_2^2}{a_1^2}\biggr) \biggr]\biggl[ \frac{1}{r^3} \biggl( \frac{1+p}{p} \biggr)\biggr]^{1/2} </math>

 

<math>~=</math>

<math>~(GM^3 R)^{1/2} \biggl( \frac{a_1^4}{r^{3}R} \biggr)^{1/2} \biggl[ \frac{1}{(1+p)}\biggl(\frac{r}{a_1}\biggr)^2 + \frac{1}{5}\biggl( 1 + \frac{a_2^2}{a_1^2}\biggr) \biggr] \biggl[ \biggl( \frac{1+p}{p} \biggr)\biggr]^{1/2} \, . </math>

For the specific case of an equal-mass binary sequence — that is, <math>~\lambda = p = 1</math> — as considered in the following table, we have,

<math>~\bar{J}_\mathrm{Kep}\biggr|_{p=1} \equiv (GM^3 R)^{-1/2} J_\mathrm{Kep}\biggr|_{p=1} </math>

<math>~=</math>

<math>~2^{-1 / 2} \biggl( \frac{a_1}{r} \biggr)^{2}\biggl( \frac{r^3}{a_1^3} \cdot \frac{a_1^3}{R^3}\biggr)^{1/6} \biggl[ \biggl(\frac{r}{a_1}\biggr)^2 + \frac{2}{5}\biggl( 1 + \frac{a_2^2}{a_1^2}\biggr) \biggr] </math>

 

<math>~=</math>

<math>~2^{-1 / 2} \biggl( \frac{a_1}{r} \biggr)^{3/2} \biggl( \frac{a_2}{a_1}\cdot \frac{a_3}{a_1}\biggr)^{-1/6} \biggl[ \biggl(\frac{r}{a_1}\biggr)^2 + \frac{2}{5}\biggl( 1 + \frac{a_2^2}{a_1^2}\biggr) \biggr] \, , </math>

where we also have involved the expression for an equivalent spherical radius given just before their equation (7.21), namely,

<math>~R^3</math>

<math>~=</math>

<math>~a_1 a_2 a_3 = a_1^3\biggl( \frac{a_2}{a_1}\cdot \frac{a_3}{a_1}\biggr) \, .</math>


Table 1:  Incompressible <math>~(n=0)</math> Roche Ellipsoids with <math>~\lambda = p = 1</math>

Extracted from Table 1 of Chandrasekhar (1963)

same as [EFE] Table XVI
EFE Check
(1) (2) (3) (4) (5) (6) (7) (8) (9)
<math>~\cos^{-1}(a_3/a_1)</math> <math>~a_2/a_1</math> <math>~a_3/a_1</math> <math>~\Omega^2</math> <math>~r/a_1</math> <math>~\bar{J}_\mathrm{Kep}=L_\mathrm{tot}/(GM^3 R)^{1/2}</math> <math>~r/R</math> <math>~\mathfrak{J}</math> <math>~L_\mathrm{tot}/(GM_\mathrm{tot}^3 R)^{1/2}</math>
12° 0.98660 0.97815 0.009293 6.5181 1.8498 6.5959 1.0104 0.6540
24° 0.94376 0.91355 0.036152 3.9916 1.5168 4.1938 1.0436 0.5363
36° 0.86345 0.80902 0.076342 2.9005 1.3846 3.2689 1.1086 0.4895
48° 0.73454 0.66913 0.118726 2.2266 1.3353 2.8215 1.2360 0.4721
54° 0.64956 0.58779 0.134284 1.9645 1.3351 2.7080 1.3510 0.4720
59° 0.56892 0.51504 0.140854 1.7702 1.3494 2.6652 1.5003 0.4771
60° 0.55186 0.50000 0.141250 1.7335 1.3542 2.6627 1.5390 0.4788
61° 0.53451 0.48481 0.141298 1.6974 1.3597 2.6624 1.5816 0.4807
66° 0.44429 0.40674 0.135785 1.5253 1.4006 2.6980 1.8732 0.4952
69° 0.38813 0.35837 0.127424 1.4388 1.4278 2.7557 2.1105 0.5073
71° 0.35022 0.32557 0.119625 1.3647 1.4723 2.8144 2.3873 0.5205
72° 0.33119 0.30902 0.115054 1.3337 1.4919 2.8512 2.5357 0.5275
73° 0.31213 0.29237 0.110044 1.3028 1.5140 2.8938 2.7072 0.5353
75° 0.27405 0.25882 0.098753 1.2419 1.5663 3.0001 3.1371 0.5538
78° 0.21726 0.20791 0.078934 1.1513 1.6731 3.2327 4.1282 0.5915
81° 0.16126 0.15643 0.056499 1.0599 1.8353 3.6139 5.9641 0.6489


Table 2:  Incompressible <math>~(n=0)</math> Roche Ellipsoids with <math>~\lambda = p = 1</math>
LRS93 Supplements LRS93 Check
(1) (2) (3) (4) (5) (6) (7) (8) (9) (10)
<math>~r/a_1</math> <math>~r/R</math> <math>~a_2/a_1</math> <math>~a_3/a_1</math> <math>~\bar\Omega</math> <math>~\bar{J}</math> <math>~\bar{E}</math> <math>~\biggl(\frac{rp^{1/3}}{a_1}\biggr)^3\biggl(\frac{R}{rp^{1/3}}\biggr)^3\biggl( \frac{a_2}{a_1}\cdot \frac{a_3}{a_1}\biggr)^{-1}</math> <math>~\bar\Omega_\mathrm{Kep}</math> <math>~\bar{J}_\mathrm{Kep}</math>
5.0 5.131 0.9707 0.9533 0.1406 1.653 -0.6943 1.0000 0.1405 1.6515
4.0 4.202 0.9441 0.9139 0.1901 1.522 -0.7128 0.9998 0.1896 1.5180
3.0 3.348 0.8750 0.8222 0.2690 1.408 -0.7349 1.0001 0.2666 1.3954
2.7 3.124 0.8345 0.7738 0.3000 1.386 -0.7404 0.9998 0.2958 1.3661
2.5 2.989 0.7981 0.7330 0.3222 1.377 -0.7427 1.0002 0.3160 1.3506
2.380 2.916 0.7715 0.7044 0.3358 1.375 -0.7432 1.0005 0.3279 1.3436
2.2 2.821 0.7236 0.6553 0.3556 1.380 -0.7418 1.0003 0.3446 1.3373
2.112 2.783 0.6960 0.6281 0.3648 1.386 -0.7399 0.9998 0.3518 1.3366
2.0 2.744 0.6561 0.5901 0.3753 1.399 -0.7358 1.0001 0.3592 1.3389
1.801 2.713 0.5708 0.5123 0.3886 1.441 -0.7218 1.0004 0.3654 1.3552
1.697 2.724 0.5184 0.4664 0.3908 1.477 -0.7097 1.0000 0.3632 1.3727
1.6 2.759 0.4644 0.4198 0.3884 1.524 -0.6939 1.0004 0.3563 1.3977
1.5 2.831 0.4040 0.3682 0.3798 1.590 -0.6717 1.0000 0.3428 1.4358
1.0 5.312 0.0823 0.0811 0.1685 2.888 -0.3772 0.9996 0.1334 2.2859


Digesting LRS93S Results

In column (12) of the above table we have combined the data from columns (5), (6), (7), & (8) to demonstrate that LRS93S indeed used the definition of <math>~R</math>, given above for their incompressible, Roche ellipsoid configurations; these terms should zombie to give unity, and they appear to do so, within the accuracy presented by the data from LRS93S. In column 14 of the table, we have listed the value of <math>~\bar{J}_\mathrm{Kep}</math>, as given by the above expression. Column 13 lists <math>~\bar{\Omega}_\mathrm{Kep}</math>, as follows:

<math>~\Omega_K</math>

<math>~=</math>

<math>~\biggl[ \frac{GM_\mathrm{tot}}{r^3} \biggr]^{1/2}</math>

 

<math>~=</math>

<math>~\biggl[ \frac{GM}{R^3} \biggl( \frac{1+p}{p}\biggr) \biggl( \frac{R}{r}\biggr)^3\biggr]^{1/2}</math>

 

<math>~=</math>

<math>~\biggl[\frac{4\pi G \rho}{3}\biggr]^{1/ 2} \biggl( \frac{1+p}{p}\biggr)^{1 / 2} \biggl[\biggl( \frac{a_1}{r}\biggr)^3 \frac{a_2}{a_1} \cdot \frac{a_3}{a_1}\biggr]^{1/2}</math>

<math>~\Rightarrow~~~ \bar\Omega_\mathrm{Kep}\biggr|_{p=1} \equiv \frac{\Omega_\mathrm{Kep}}{(\pi G \rho)^{1/2}}\biggr|_{p=1}</math>

<math>~=</math>

<math>~\biggl[ \frac{8}{3}\biggl( \frac{a_1}{r}\biggr)^3 \frac{a_2}{a_1} \cdot \frac{a_3}{a_1}\biggr]^{1/2} \, .</math>

The value of the LRS93S correction factor, <math>~(1+\delta)</math>, can be obtained either from the ratio, <math>~\bar{J}/\bar{J}_\mathrm{Kep}</math>, or from the ratio, <math>~\bar{\Omega}/\bar{\Omega}_\mathrm{Kep}</math>.

Digesting the EFE Results

The EFE table lists values of <math>~\bar\Omega_\mathrm{Kep}</math>, but not values of <math>~r/a_1</math>. Inverting the expression just provided gives,

<math>~\biggl( \frac{a_1}{r}\biggr)^3 \frac{a_2}{a_1} \cdot \frac{a_3}{a_1} </math>

<math>~=</math>

<math>~ \frac{3}{8}\bar\Omega^2_\mathrm{Kep}</math>

<math>~\Rightarrow ~~~ \frac{r}{a_1}</math>

<math>~=</math>

<math>~\biggl[ \frac{8}{3\bar\Omega^2_\mathrm{Kep} }\biggl( \frac{a_2}{a_1} \cdot \frac{a_3}{a_1} \biggr) \biggr]^{1 / 3} \, .</math>

In the above "EFE Check" column, we've listed these inferred values of <math>~r/a_1</math>. Or, we might prefer the ratio, <math>~r/R</math>, which is obtained from the Keplerian frequency via the expression,

<math>~ \Omega_K^2</math>

<math>~=</math>

<math>~\frac{4\pi G \rho}{3} \biggl( \frac{1+p}{p}\biggr) \biggl[\frac{R}{r} \biggr]^{3} </math>

<math>~\Rightarrow ~~~ \biggl[\frac{R}{r} \biggr]^{3} </math>

<math>~=</math>

<math>\biggl[\frac{3}{4}\biggr] \biggl( \frac{p}{1+p}\biggr) ~\biggl( \frac{\Omega_K^2}{\pi G\rho}\biggr)</math>

<math>~\Rightarrow ~~~ \biggl(\frac{r}{R} \biggr)_{p=1}</math>

<math>~=</math>

<math>\biggl[ \frac{3}{8} \biggl( \frac{\Omega_K^2}{\pi G\rho}\biggr)_{p=1} \biggr]^{-1/3} \, .</math>


Comparison

In the context of our simplistic spherical model, above, we derived the following expression for the total angular momentum:

<math>~L_\mathrm{tot} </math>

<math>~=</math>

<math>~ (G M_\mathrm{tot}^3 R)^{1 / 2} \biggl\{ \frac{1}{(1+\lambda)} \biggl( \frac{d}{R}\biggr)^{1 / 2} + \frac{2}{5}\biggl[ 1 + \cancelto{0}{\frac{1}{\lambda}\biggl( \frac{R^'}{R}\biggr)^{2}} \biggr] \biggl( \frac{d}{R}\biggr)^{-3/2} \biggr\}\biggl(\frac{\lambda}{1+\lambda} \biggr) \, . </math>

Rewriting our just-derived "Keplerian" expression to emphasize the ratio <math>~r/R</math> instead of <math>~r/a_1</math>, and to highlight the system's total mass in the leading dimensional coefficient, allows us to more readily recognize the overlap with this simpler expression.

<math>~J_\mathrm{Kep}</math>

<math>~=</math>

<math>~(GM^3 R)^{1/2} \biggl[ \frac{1}{(1+p)}\biggl( \frac{r}{R} \biggr)^{1/2} + \frac{1}{5}\biggl( 1 + \frac{a_2^2}{a_1^2}\biggr) \biggl( \frac{a_1}{R} \cdot \frac{R}{r} \biggr)^{2} \biggl( \frac{r}{R} \biggr)^{1/2} \biggr] \biggl( \frac{1+p}{p} \biggr)^{1/2} </math>

 

<math>~=</math>

<math>~(GM_\mathrm{tot}^3 R)^{1/2} \biggl( \frac{p}{1+p} \biggr)^{3/2} \biggl[ \frac{1}{(1+p)}\biggl( \frac{r}{R} \biggr)^{1/2} + \frac{1}{5}\biggl( 1 + \frac{a_2^2}{a_1^2}\biggr) \biggl( \frac{a_1}{R} \biggr)^{2} \biggl( \frac{r}{R} \biggr)^{-3/2} \biggr] \biggl( \frac{1+p}{p} \biggr)^{1/2} </math>

 

<math>~=</math>

<math>~(GM_\mathrm{tot}^3 R)^{1/2} \biggl[ \frac{1}{(1+p)}\biggl( \frac{r}{R} \biggr)^{1/2} + \frac{1}{5}\biggl( 1 + \frac{a_2^2}{a_1^2}\biggr) \biggl( \frac{a_1}{R} \biggr)^{2} \biggl( \frac{r}{R} \biggr)^{-3/2} \biggr] \biggl( \frac{p}{1+p} \biggr) </math>

It makes sense, then, to write the total angular momentum as,

<math>~L_\mathrm{tot} </math>

<math>~=</math>

<math>~ (G M_\mathrm{tot}^3 R)^{1 / 2} \biggl\{ \frac{1}{(1+\lambda)} \biggl( \frac{d}{R}\biggr)^{1 / 2} + \frac{2}{5} \cdot \mathfrak{J}\biggl( \frac{d}{R}\biggr)^{-3/2} \biggr\}\biggl(\frac{\lambda}{1+\lambda} \biggr) \, , </math>

where, <math>~\mathfrak{J} =1 </math> when one assumes that the primary star is spherical, but when tidal distortions are taken into account,

<math>~\mathfrak{J} = \frac{1}{2} \biggl( 1 + \frac{a_2^2}{a_1^2}\biggr) \biggl( \frac{a_1}{R} \biggr)^{2} \, .</math>

Figure 1: "Roche" Binary Sequences with Point-Mass Secondary and <math>~M/M^' = 1</math>

Our Constructed Diagram

Extracted from Fig. 10 of LRS93Supplement

Compare to LRS93S Fig10

LRS93S Fig10

Left:   Curves showing how the total system angular momentum varies with binary separation when <math>~n=0</math> and the secondary star <math>~(M^')</math> is treated as a point mass. (Blue dashed curve) Primary star assumed to be a sphere and, hence, <math>~\mathfrak{J} = 1</math>; (Green filled circular markers) Primary star is an (EFE) ellipsoidal configuration with axis ratios specified by columns 2 and 3 of our Table 1, normalized angular momentum specified by column 6 of our Table 1, and binary separation specified by column 7 of our Table 1; (Solid red curve connecting red filled circular markers) Primary star is an (LRS93S) ellipsoidal configuration with axis ratios specified by columns 3 and 4 of our Table 2, normalized angular momentum specified by column 6 of our Table 2, and binary separation specified by column 2 of our Table 2. The green filled circular markers define the same (EFE) sequence that is presented as a dot-dashed curve in the right-hand panel; the red filled circular markers and associated smoothed curve define the same (LRS93S) sequence that is presented as a solid curve in the right-hand panel. The purple filled circlular marker identifies the turning point along the (LRS93S) sequence associated with the minimum system angular momentum; the yellow filled circular marker identifies the turning point along the same sequence that is associated with the minimum separation — the so-called "Roche" limit.

Right:   (The following text is largely taken from the Fig. 10 caption of LRS93S) Equilibrium curves generated by LRS93S showing total angular momentum as a function of binary separation along two incompressible, and three compressible Roche sequences with <math>~M/M^' = 1</math>. The various curves display results from polytropic configurations having <math>~n=0</math> (solid line), <math>~n=1</math> (dotted line), <math>~n=1.5</math> (short-dashed line), and <math>~n=2.5</math> (long-dashed line). For comparison, the sequence obtained by EFE for <math>~n=0</math> is also drawn (dotted-dashed line).

Incompressible Roche Ellipsoids (λ = 0)

Extracted from p. 229 of G. H. Darwin (1906)

Roche limit

Extracted from p. 242 of G. H. Darwin (1906)

Roche limit

Here we examine the results presented by Roche, by Darwin, and by EFE for the case of a point-mass secondary (<math>~(M^')</math> and a primary whose mass <math>~(M)</math> is formally zero. In this case, we must use a different scheme for normalizing physical quantities. Because the secondary is not spinning and it has no orbital motion, only the primary contributes to the system's "angular momentum"; but because the primary has no mass, we need to examine its (and, hence, the system's) specific angular momentum. Specifically,

<math>~\frac{I}{M}</math>

<math>~=</math>

<math>~\frac{1}{5}a_1^2 \biggl( 1 + \frac{a_2^2}{a_1^2}\biggr) \, ,</math>

and,

<math>~j \equiv \frac{J_\mathrm{tot}}{M}</math>

<math>~=</math>

<math>~\biggl[ \frac{r^2}{(1+\cancelto{0}{p})} + \frac{I}{M} \biggr]\Omega_\mathrm{Kep} </math>

 

<math>~=</math>

<math>~R^2\biggl[ \biggl(\frac{r}{R}\biggr)^2 + \frac{2}{5} \cdot \mathfrak{J} \biggr]\biggl(\frac{GM^'}{r^3}\biggr)^{1 / 2} </math>

 

<math>~=</math>

<math>~(GM^' R)^{1 / 2} \biggl[ \biggl(\frac{r}{R}\biggr)^{1 / 2} + \frac{2}{5} \cdot \mathfrak{J} \biggl(\frac{r}{R}\biggr)^{-3 / 2} \biggr] \, , </math>

where, in order to ensure that the density of the primary remains constant along an equilibrium sequece, the adopted normalizing length scale is customarily,

<math>~R^3 \equiv a_1 a_2 a_3 ~~~\Rightarrow ~~~ \frac{R}{a_1} = \biggl( \frac{a_2}{a_1}\cdot \frac{a_3}{a_1} \biggr)^{1 / 3} \, ,</math>

in which case,

<math>~\mathfrak{J} </math>

<math>~=</math>

<math>~\frac{1}{2} \biggl( 1 + \frac{a_2^2}{a_1^2}\biggr) \biggl( \frac{a_1}{R} \biggr)^{2} </math>

 

<math>~=</math>

<math>~\frac{1}{2} \biggl( 1 + \frac{a_2^2}{a_1^2}\biggr) \biggl( \frac{a_2}{a_1}\cdot \frac{a_3}{a_1} \biggr)^{-2 / 3} </math>


Table 3:  Incompressible <math>~(n=0)</math> Roche Ellipsoids with <math>~\lambda = p = 0</math>

Extracted from Table 1 of Chandrasekhar (1963)

same as [EFE] Table XVI
EFE Check
(1) (2) (3) (4) (5) (6) (7) (8)
<math>~\cos^{-1}(a_3/a_1)</math> <math>~a_2/a_1</math> <math>~a_3/a_1</math> <math>~\Omega^2</math> <math>~r/R</math> <math>~R/a_1</math> <math>~\mathfrak{J}</math> <math>~j/(GM^' R)^{1/2}</math>
24° 0.93188 0.91355 0.022624 3.8916 0.9478 1.0400 2.0269
36° 0.84112 0.80902 0.047871 3.0312 0.8796 1.1035 1.8247
48° 0.70687 0.66913 0.074799 2.6122 0.7791 1.2352 1.7333
57° 0.57787 0.54464 0.088267 2.4720 0.68022 1.4415 1.7206
60° 0.53013 0.50000 0.089946 2.4565 0.6424 1.5523 1.7286
61° 0.51373 0.48481 0.090068 2.4554 0.6292 1.5964 1.7329
62° 0.49714 0.46947 0.089977 2.4562 0.6157 1.6450 1.7382
63° 0.48040 0.45399 0.089689 2.4589 0.6019 1.6984 1.7443
66° 0.42898 0.40674 0.087201 2.48202 0.5588 1.8959 1.7694
71° 0.34052 0.32557 0.077474 2.5818 0.4804 2.4178 1.8399
72° 0.32254 0.30902 0.074648 2.6140 0.4636 2.5679 1.8598
75° 0.26827 0.25882 0.064426 2.7455 0.4110 3.1728 1.9359
79° 0.19569 0.19081 0.047111 3.0475 0.3342 4.6471 2.0951

Roche, Darwin, and Chandrasekhar p=0

References


Figures from (left) Lai, Rasio, & Shapiro (1993) and (right) New & Tohline (1997)

Lai, Rasio & Shapiro (1993a)
New & Tohline (1997)


See Also

The discussion presented here is supported by detailed reviews and new derivations presented in the following associated chapters:

Overlapping discussions of this topic may also be found in the following key references:


Whitworth's (1981) Isothermal Free-Energy Surface

© 2014 - 2021 by Joel E. Tohline
|   H_Book Home   |   YouTube   |
Appendices: | Equations | Variables | References | Ramblings | Images | myphys.lsu | ADS |
Recommended citation:   Tohline, Joel E. (2021), The Structure, Stability, & Dynamics of Self-Gravitating Fluids, a (MediaWiki-based) Vistrails.org publication, https://www.vistrails.org/index.php/User:Tohline/citation