Difference between revisions of "User:Tohline/2DStructure/ToroidalCoordinateIntegrationLimits"
| Line 1,918: | Line 1,918: | ||
<td align="center" colspan="2"><math>0.0592404</math></td> | <td align="center" colspan="2"><math>0.0592404</math></td> | ||
<td align="center" colspan="2"><math>0.0132544</math></td> | <td align="center" colspan="2"><math>0.0132544</math></td> | ||
<td align="center" colspan="2"><math>0. | <td align="center" colspan="2"><math>0.082171</math></td> | ||
</tr> | </tr> | ||
<tr> | <tr> | ||
Revision as of 21:14, 31 May 2016
Toroidal-Coordinate Integration Limits
In support of our accompanying discussion of the gravitational potential of a uniform-density circular torus, here we explain in detail what limits of integration must be specified in order to accurately determine the volume — and, hence also the total mass — of such a torus using toroidal coordinates.
|
|---|
| | Tiled Menu | Tables of Content | Banner Video | Tohline Home Page | |
Mapping from Cylindrical to Toroidal Coordinates
Referencing the illustration displayed in the left-hand panel of Figure 1, our goal is to determine the gravitational potential at any cylindrical-coordinate location <math>~(R_0, Z_0)</math> due to a uniform-density circular torus whose major radius is <math>~\varpi_t</math> and whose minor, cross-sectional radius is <math>~r_t</math>. Here we explain how a toroidal coordinate system <math>~(\xi_1, \xi_2)</math> — as defined, for example, by MF53 and as illustrated schematically in the right-hand panel of Figure 1 — can be used to reduce the geometric complexity of this problem. Note that, in our illustration, each black circle identifies a <math>\xi_1 = </math> constant surface and each red circle identifies a <math>\xi_2 = </math> constant surface. Note, as well, that the overall length scale (not labeled in our schematic diagram) is set by the distance, <math>~a</math>, from the vertical symmetry axis to the origin of the toroidal coordinate system — the point (actually, the axisymmetric ring) at which all the red circles intersect one another. Here we will show how, when using an appropriately aligned toroidal coordinate system, the three-dimensional, weighted integral over the mass distribution that is required to determine the gravitational potential at any location can be reduced to the sum of a small number (1 - 4) of one-dimensional integrals over the "radial" coordinate, <math>~\xi_1</math>.
| Figure 1: Meridional slice through … | |
|---|---|
| (Pink) Circular Torus | Toroidal Coordinate System (schematic) (see also Wikipedia's Apollonian Circles) |
|
The pink circle represents the meridional cross-section through an axisymmetric, circular torus that lies in the equatorial plane of a cylindrical <math>~(\varpi, Z)</math>, coordinate system. The torus has a major axis of length, <math>~\varpi_t</math>, and a minor, cross-sectional radius of length, <math>~r_t</math>. The red circular dot identifies the cylindrical-coordinate location, <math>~(R_0, Z_0)</math>, at which the gravitational potential is to be evaluated. |
As is explained more fully in Wikipedia's discussion of toroidal coordinates, rotating this two-dimensional bipolar coordinate system about the vertical axis produces a three-dimensional toroidal coordinate system. Black circles centered on the horizontal axis become circular tori — each identifying an axisymmetric, <math>\xi_1 =</math> constant surface; whereas, red circles centered on the vertical axis become spheres — each identifying an axisymmetric, <math>\xi_2 =</math> constant surface. |
Special Case Alignment
It should perhaps not be surprising to find that a toroidal coordinate system can be effectively used to quantitatively describe some properties — certainly the volume and possibly the gravitational potential — of circular tori because each <math>\xi_1 = </math> constant surface in a toroidal coordinate system (see the black circles in the right-hand panel of Figure 1) defines the surface of an axisymmetric, circular torus. In order to map from a cylindrical-coordinate representation of a circular torus (see the left-hand panel of Figure 1) to a toroidal-coordinate representation of that torus, at first glance it would seem reasonable to establish the alignment depicted schematically in Figure 2. That is, align the horizontal and vertical axes of the bipolar coordinate system (right-hand panel of Figure 1) with, respectively, the <math>\varpi-</math>axis and the <math>Z-</math>axis of the cylindrical coordinate system, then scale the overall size of the bipolar coordinate system until one <math>\xi_1 = </math> constant surface perfectly aligns with the surface of the (pink) torus.
| Figure 2: Schematic Illustration of "Special Case" Alignment |
|---|
|
Here, a mapping from cylindrical coordinates to toroidal coordinates is achieved by aligning the horizontal and vertical axes of the bipolar coordinate system (right-hand panel of Figure 1) with, respectively, the <math>\varpi-</math>axis and the <math>Z-</math>axis of the cylindrical coordinate system, then scaling the overall size of the bipolar coordinate system, <math>~a</math>, until one <math>\xi_1 = </math> constant surface perfectly aligns with the surface of the (pink) torus. |
This is the "special case" alignment that we have discussed in an accompanying chapter. It is achieved by setting the scale-length, <math>~a</math>, of the toroidal-coordinate system to a value given by the expression,
|
<math>~a</math> |
<math>~=</math> |
<math>~\sqrt{\varpi_t^2 - r_t^2}\, ,</math> |
which means that the "radial" toroidal coordinate that aligns with the surface of the (pink) torus has the value,
|
<math>~\xi_1</math> |
<math>~=</math> |
<math>~\frac{\varpi_t}{r_t} \, .</math> |
While the special alignment depicted in Figure 2 might at first glance seem reasonable, we have found that it does not generally enable us to transform the multi-dimensional integral expression for the gravitational potential into a one-dimensional integral over <math>~\xi_1</math>, as desired.
Practical Transformation
However, we have discovered that this desired transformation can be accomplished by shifting the toroidal-coordinate system vertically and scaling it such that its off-axis "origin" aligns with the cylindrical-coordinate location, <math>~(R_0, Z_0)</math>, at which the gravitational potential is to be evaluated. The left-hand panel of Figure 3 illustrates what results from aligning in this manner the left-hand and right-hand panels of Figure 1. The origin of the toroidal coordinate system sits on the green line-segment, a distance <math>~Z = Z_0</math> above the equatorial plane of the torus, and a distance <math>~a = R_0</math> from the symmetry axis.
| Figure 3: Quantitative Illustration of Employed Toroidal Coordinate System | ||
|---|---|---|
The middle and right-hand panels of Figure 3 display quantitatively how the boundary of the (pink) circular torus is defined in toroidal coordinates when an alignment of coordinate systems is made, as illustrated in the left-hand panel of Figure 3, for the parameter values: <math>~(R_0, Z_0) = (\tfrac{1}{3}, \tfrac{3}{4})</math> and <math>~(\varpi_t, r_t) = (\tfrac{3}{4}, \tfrac{1}{4})</math>. As the middle panel shows, black toroidal-coordinate circles intersect and/or thread through the (pink) torus for values of the radial coordinate in the range, <math>1.045 \leq \xi_1 \leq 1.193</math>. And, as the right-hand panel shows, the red toroidal-coordinate circle that corresponds to the angular-coordinate value, <math>~\xi_2 = 0.885198</math>, not only threads through the (pink) torus but identifies the "angle" at which the two limiting <math>\xi_1 =</math> constant circles touch the surface of the torus. The derivations that have led to the construction of these two figure panels are presented in an accompanying discussion.
One-Dimensional Integral Equations
Volume of Circular Torus
|
Note that when either integration limit, <math>~\gamma_i</math> or <math>~\Gamma_i</math>, is plus one, the integrand inside the curly braces becomes,
|
<math>~\biggl\{~~\biggr\}_{\xi_2 = +1}</math> |
<math>~~\rightarrow~~</math> |
<math>~ \biggl\{0 + \biggl[ \frac{(2\xi_1^2 + 1)}{(\xi_1^2-1)^{5/2}}\biggr] \cos^{-1}\biggl[ 1 \biggr] \biggr\} = 0 \, . </math> |
Alternatively, when either integration limit, <math>~\gamma_i</math> or <math>~\Gamma_i</math>, is minus one, the integrand inside the curly braces becomes,
|
<math>~\biggl\{~~\biggr\}^{\xi_2 = -1}</math> |
<math>~~\rightarrow~~</math> |
<math>~ \biggl\{0 + \biggl[ \frac{(2\xi_1^2 + 1)}{(\xi_1^2-1)^{5/2}}\biggr] \cos^{-1}\biggl[- 1 \biggr] \biggr\} = \pi \biggl[ \frac{(2\xi_1^2 + 1)}{(\xi_1^2-1)^{5/2}}\biggr] \, . </math> |
(In principle, the arccosine of -1 could be negative π, in which case the leading sign on this last expression should be flipped from positive to negative. But empirical evidence tells us that only the positive sign is relevant to this problem.)
Gravitational Potential due to a Circular Torus
|
Integration Limits
We define the following terms that are functions only of the four principal model parameters, <math>~(a, Z_0, \varpi_t, r_t)</math>, and therefore can be treated as constants while carrying out the pair of nested integrals that determine <math>~q_0</math>.
Zone I:
In an accompanying discussion, we have derived the following integration limits; numerical values are given for the specific case, <math>~(a, Z_0, \varpi_t, r_t) = (\tfrac{1}{3}, \tfrac{3}{4}, \tfrac{3}{4}, \tfrac{1}{4})</math>:
|
where,
|
<math>~\kappa</math> |
<math>~\equiv</math> |
<math>~ Z_0^2 + a^2 - (\varpi_t^2 - r_t^2) </math> |
<math>\rightarrow</math> |
<math>~ \frac{5^2}{2^4\cdot 3^2} \approx 0.17361111 </math> |
|
<math>~C</math> |
<math>~\equiv</math> |
<math>~1 + \biggl( \frac{2Z_0}{\kappa}\biggr)^2 ( \varpi_t^2 - r_t^2) </math> |
<math>\rightarrow</math> |
<math>~\frac{17 \cdot 1409}{5^4} \approx 38.3248 </math> |
|
<math>~\beta_\pm</math> |
<math>~\equiv</math> |
<math>~ - \frac{\kappa}{2} \biggl[ \frac{\varpi_t \mp r_t \sqrt{C}}{(\varpi_t + r_t)(\varpi_t - r_t)} \biggr] </math> |
<math>\rightarrow</math> |
<math>~ -~\frac{5^2}{2^6\cdot 3}\biggl[ 1\mp \sqrt{ \frac{17\cdot 1409}{3^2\cdot 5^4}} \biggr] </math> |
Notice that we have specified these integration limits such that, in going from the lower limit <math>~(\lambda_1)</math> to the upper limit <math>~(\Lambda_1)</math>, the value of <math>~\xi_1</math> monotonically increases.
Also,
|
where, in addition to the quantities defined above,
|
<math>~\biggl(\frac{\varpi_i}{a}\biggr)_\pm</math> |
<math>~\equiv</math> |
<math>~\frac{\kappa}{2a^2}\cdot \frac{\mathrm{B}}{\mathrm{A}} \biggl[1 \pm \sqrt{1-\frac{AC}{B^2}} \biggr] </math> |
|
<math>~\mathrm{A}</math> |
<math>~\equiv</math> |
<math>~\biggl(\frac{Z_0}{a}\biggr)^2 + \biggl[\frac{\varpi_t}{a} - \frac{\xi_1}{(\xi_1^2-1)^{1/2}}\biggr]^2 </math> |
|
<math>~\mathrm{B}</math> |
<math>~\equiv</math> |
<math>~\biggl(\frac{2\varpi_t Z_0^2}{a\kappa}\biggr) - \biggl[\frac{\varpi_t}{a} - \frac{\xi_1}{(\xi_1^2-1)^{1/2}}\biggr] </math> |
Here, our desire also is to specify the integration limits such that <math>~\xi_2</math> monotonically increases in going from the lower limit <math>~(\gamma_1)</math> to the upper limit <math>~(\Gamma_1)</math>. In order to check to see if this is the case, let's test the limiting values of <math>~\xi_2</math> when we are considering a radial-coordinate value roughly midway between its limits, say, when <math>~\xi_1 = 1.1</math>. For this specific case, we find,
<math>~\Rightarrow ~~~ \xi_2\biggr|_- = 0.802600 \, .</math>
Hence, our ordering of the limits appears to be the one desired.
Zone II:
| Figure 5: Zone II | ||
|---|---|---|
| Definition | Schematic Example | Quantitative Example: Partial Volumes Identified |
| <math>~r_t > Z_0 > 0</math>and<math>~a < \varpi_t - \sqrt{r_t^2 - Z_0^2}</math> | ||
In an accompanying discussion, we have derived the following integration limits; example numerical values of various parameters are provided for the specific case where, <math>~(a, Z_0, \varpi_t, r_t) = (\tfrac{1}{3}, \tfrac{3}{20}, \tfrac{3}{4}, \tfrac{1}{4})</math>. Note that,
|
<math>~\kappa</math> |
<math>~=</math> |
<math>~- \frac{1319}{2^4\cdot 3^2 \cdot 5^2} \approx -0.36639 \, ;</math> |
|
<math>~C</math> |
<math>~=</math> |
<math>~1 + \frac{2^5\cdot 3^6 \cdot 5^2}{(1319)^2} = \frac{2322961}{(1319)^2} \approx 1.33522 \, ;</math> |
|
<math>~\beta_+</math> |
<math>~=</math> |
<math>~\frac{1}{2^6\cdot 3^2\cdot 5^2} \biggl[3\cdot 1319 - \sqrt{2322961} \biggr] \approx 0.16895 \, ;</math> |
|
<math>~\beta_-</math> |
<math>~=</math> |
<math>~\frac{1}{2^6\cdot 3^2\cdot 5^2} \biggl[3\cdot 1319 + \sqrt{2322961} \biggr] \approx 0.38063 \, .</math> |
Partial Volume #II-1
This is the green cropped-top sub-volume identified as Partial Volume #1 (PV#1) in the right-hand panel of Figure 5, and discussed in detail elsewhere.
|
|
Partial Volume #II-2
This is the sub-volume that is painted yellow and identified as Partial Volume #2 (PV#2) in the right-hand panel of Figure 5.
|
|
Partial Volume #II-3
This is the sub-volume that is painted orange and identified as Partial Volume #3 (PV#3) in the right-hand panel of Figure 5.
|
|
Partial Volume #II-4
This is the sub-volume that is painted blue and identified as Partial Volume #4 (PV#4) in the right-hand panel of Figure 5.
|
|
Summary (Zone II)
In summary, for a given set of the three model parameters <math>~(a, \varpi_t, r_t)</math> and the fourth, <math>~Z_0</math>, in the range, <math>~0 < Z_0 < r_t</math>, the volume of the (pink) circular torus is determined by adding together four partial volumes — that is, adding together the results of four separate 1D integrations over the "radial" toroidal coordinate <math>~(\xi_1)</math>. Although a total of eight radial integration limits (four lower limits and four upper limits) are required to fully determine the Zone II torus volume, only four unique limiting values need to be calculated because the partial volumes share <math>~\xi_1</math> boundaries. This has been illustrated by the black vertical dashed and dot-dashed lines in the left-hand panel of Figure 6 — and, drawing from the above discussion, the numerical values of these limits have been recorded in Table 1 — for the specific case of <math>~Z_0 = \tfrac{3}{20}</math>.
|
Table 1: Zone II Partial Volumes & Integration Limits on <math>~\xi_1</math>
for model parameters <math>~(a, Z_0, \varpi_t, r_t) = (\tfrac{1}{3}, \tfrac{3}{20}, \tfrac{3}{4}, \tfrac{1}{4})</math> | ||||||||
|---|---|---|---|---|---|---|---|---|
| PV #1 | PV #2 | PV #3 | PV #4 | |||||
| IntegrationLimits | <math>~\lambda_1</math> | <math>~\Lambda_1</math> | <math>~\lambda_2</math> | <math>~\Lambda_2</math> | <math>~\lambda_3</math> | <math>~\Lambda_3</math> | <math>~\lambda_4</math> | <math>~\Lambda_4</math> |
| <math>1.28080</math> | <math>2.16110</math> | <math>1.22088</math> | <math>1.28080</math> | <math>1.28080</math> | <math>2.16110</math> | <math>2.16110</math> | <math>2.32125</math> | |
| VolumeFraction | 0.14237851 | 0.21569718 | 0.63537958 | 0.00654487 | ||||
| Total Volume(nzones = 5000) | 1.00000014 <math>~\Rightarrow~</math> Error = 1.4E-7 | |||||||
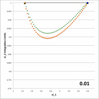
While the radial integrand expression for each partial volume is formally the same, it requires a specification of both limits, <math>~\gamma_i</math> and <math>~\Gamma_i</math>, for the "angular" coordinate integration which, as has also just been detailed, vary from one partial volume to the next and generally depend on the value of the radial coordinate. This dependence of the angular coordinate integration limits on the specific value of the radial coordinate across the four separate partial volumes is quantitatively illustrated in Figure 6 for the specific set of model parameters, <math>~(a, \varpi_t, r_t) = (\tfrac{1}{3}, \tfrac{3}{4}, \tfrac{1}{4})</math>, and for twenty-four different values of <math>~Z_0</math>.
|
Figure 6: Zone II Integration Limits on <math>~\xi_2</math>
for model parameters <math>~(a, \varpi_t, r_t) = (\tfrac{1}{3}, \tfrac{3}{4}, \tfrac{1}{4})</math> and various <math>~Z_0</math> | |||||||||||||||||||||||||
|---|---|---|---|---|---|---|---|---|---|---|---|---|---|---|---|---|---|---|---|---|---|---|---|---|---|
|
|||||||||||||||||||||||||
In both panels of Figure 6, at each of a variety of values of the "radial" coordinate, <math>~\xi_1</math> (horizontal axis), a pair of colored dots identify the values (vertical axis) of the two "angular" coordinate integration limits, <math>~\gamma_i</math> (lower value) and <math>~\Gamma_i</math> (upper value). The left-hand panel has been constructed for the specific case, <math>~Z_0 = \tfrac{3}{20} = 0.15</math>; via an animation sequence, the right-hand panel shows how the limits vary with <math>~\xi_1</math> for twenty-four different values of <math>~Z_0</math> in the Zone II range <math>~(0 \leq Z_0 \leq r_t)</math>, as indicated in the lower right-hand corner of each frame. The limits identified by yellow dots must be fed into the radial integrand expression when evaluating partial volume #2 and the blue dots provide the limits for partial volume #4. Green dots identify the lower angular-coordinate integration limit across partial volume #1; orange dots identify the lower limit across partial volume #3; and the upper limit for both partial volume #1 and partial volume #3 is unity (black dots). Four vertical black lines (two dashed and two dot-dashed) have been added to the plot displayed in the left-hand panel of Figure 6 in order to emphasize that the boundaries between the four partial volumes are defined by the radial-coordinate integration limits, <math>~\lambda_i</math> and <math>~\Lambda_i</math>; as has been detailed in Table 1 for the specific case <math>~(a, Z_0, \varpi_t, r_t) = (\tfrac{1}{3}, \tfrac{3}{20}, \tfrac{3}{4}, \tfrac{1}{4})</math>, the boundaries occur at <math>~\xi_1 = 1.22088, 1.28080, 2.16110,</math> and <math>~2.32125</math>.
Zone III
| Figure 7: Zone III | ||
|---|---|---|
| Definition | Schematic Example | Quantitative Example: Partial Volumes Identified |
|
<math>~r_t > Z_0 > 0</math>and
<math>~\varpi_t - \sqrt{r_t^2 - Z_0^2} < a < \varpi_t + \sqrt{r_t^2 - Z_0^2}</math>
<math>~\biggl[\frac{11}{20} < a < \frac{19}{20}\biggr]</math> |
||
Here, numerical values will be given for the specific case, <math>~(a, Z_0, \varpi_t, r_t) = (\tfrac{4}{5}, \tfrac{3}{20}, \tfrac{3}{4}, \tfrac{1}{4})</math>:
|
where,
|
<math>~\kappa</math> |
<math>~\equiv</math> |
<math>~ Z_0^2 + a^2 - (\varpi_t^2 - r_t^2) </math> |
<math>\rightarrow</math> |
<math>~\frac{13}{2^4\cdot 5} = 0.1625 </math> |
|
<math>~C</math> |
<math>~\equiv</math> |
<math>~1 + \biggl( \frac{2Z_0}{\kappa}\biggr)^2 ( \varpi_t^2 - r_t^2) </math> |
<math>\rightarrow</math> |
<math>\frac{457}{13^2} \approx 2.7041420 </math> |
|
<math>~\beta_\pm</math> |
<math>~\equiv</math> |
<math>~ - \frac{\kappa}{2} \biggl[ \frac{\varpi_t \mp r_t \sqrt{C}}{(\varpi_t + r_t)(\varpi_t - r_t)} \biggr] </math> |
<math>\rightarrow</math> |
<math>~ -~\frac{1}{2^6\cdot 5 }\biggl[ 39 \mp \sqrt{457} \biggr] </math> |
|
<math>~\Rightarrow~~~~\beta_+</math> |
<math>\approx</math> |
<math>~ -~0.055070130 </math> |
|
|
|
<math>~\beta_-</math> |
<math>\approx</math> |
<math>~ -~0.188679870 </math> |
|
|
Notice that we have specified these integration limits such that, in going from the lower limit <math>~(\lambda_1)</math> to the upper limit <math>~(\Lambda_1)</math>, the value of <math>~\xi_1</math> monotonically increases.
Partial Volume #III-1
This is the sub-volume that is painted blue and identified as Partial Volume #1 (PV#1) in the right-hand panel of Figure 7.
|
|
Partial Volume #III-2
This is the sub-volume that is painted green and identified as Partial Volume #2 (PV#2) in the right-hand panel of Figure 7.
|
|
Partial Volume #III-3
This is the sub-volume that is painted orange and identified as Partial Volume #3 (PV#3) in the right-hand panel of Figure 7.
|
|
Alternative determination of this partial volume: Notice that this "orange" meridional-plane segment is a (semi)circle of radius (see accompanying discussion),
<math>~r_\mathrm{orange} = \frac{a}{\sqrt{\lambda_3^2 - 1}} \, .</math>
Hence, using the familiar expression for the volume of a circular torus, we know that the volume associated with this "orange" partial volume is,
|
<math>~V_\mathrm{orange}</math> |
<math>~=</math> |
<math>~\frac{1}{2}\biggl[ 2\pi^2 a r_\mathrm{orange}^2 \biggr] = \frac{\pi^2 a^3}{\lambda_3^2-1} </math> |
|
<math>~\Rightarrow~~~~\frac{V_\mathrm{orange}}{V_\mathrm{torus}}</math> |
<math>~=</math> |
<math>~\frac{a^3}{2\varpi_t r_t^2(\lambda_3^2-1)} \approx 0.162881 \, .</math> |
New way!
|
<math>~V_\mathrm{orange}</math> |
<math>~=</math> |
<math>~\frac{1}{2}\biggl[ 2\pi^2 a r_\mathrm{orange}^2 \biggr] = \frac{\pi^2 a^3}{\lambda_3^2-1} </math> |
|
<math>~\Rightarrow~~~~\frac{V_\mathrm{orange}}{V_\mathrm{torus}}</math> |
<math>~=</math> |
<math>~\biggl(\frac{a^3}{2\varpi_t r_t^2}\biggr) \frac{\lambda_3}{(\lambda_3^2-1)^{3/2}} \approx 0.165292 \, .</math> |
Partial Volume #III-4
This is the sub-volume that is painted pink and identified as Partial Volume #4a (PV#4a) in the right-hand panel of Figure 7.
|
|
This is the sub-volume that is painted red and identified as Partial Volume #4b (PV#4b) in the right-hand panel of Figure 7.
|
|
Partial Volume #III-5
This is the sub-volume that is painted black and identified as Partial Volume #5 (PV#5) in the right-hand panel of Figure 7.
|
|
Alternative determination of this partial volume: Notice that this "black" meridional-plane segment is a (semi)circle of radius (see accompanying discussion),
<math>~r_\mathrm{black} = \frac{a}{\sqrt{\lambda_5^2 - 1}} \, .</math>
Hence, using the familiar expression for the volume of a circular torus, we know that the volume associated with this "black" partial volume is,
|
<math>~V_\mathrm{black}</math> |
<math>~=</math> |
<math>~\frac{1}{2}\biggl[ 2\pi^2 a r_\mathrm{black}^2 \biggr] = \frac{\pi^2 a^3}{\lambda_5^2-1} </math> |
|
<math>~\Rightarrow~~~~\frac{V_\mathrm{black}}{V_\mathrm{torus}}</math> |
<math>~=</math> |
<math>~\frac{a^3}{2\varpi_t r_t^2(\lambda_5^2-1)} \approx 0.069444 \, .</math> |
New way!
|
<math>~V_\mathrm{orange}</math> |
<math>~=</math> |
<math>~\frac{1}{2}\biggl[ 2\pi^2 a r_\mathrm{orange}^2 \biggr] = \frac{\pi^2 a^3}{\lambda_3^2-1} </math> |
|
<math>~\Rightarrow~~~~\frac{V_\mathrm{orange}}{V_\mathrm{torus}}</math> |
<math>~=</math> |
<math>~\biggl(\frac{a^3}{2\varpi_t r_t^2}\biggr) \frac{\lambda_5}{(\lambda_5^2-1)^{3/2}} \approx 0.082171 \, .</math> |
Summary (Zone III)
|
Table 2: Zone III Partial Volumes & Integration Limits on <math>~\xi_1</math>
for model parameters <math>~(a, Z_0, \varpi_t, r_t) = (\tfrac{4}{5}, \tfrac{3}{20}, \tfrac{3}{4}, \tfrac{1}{4})</math> | ||||||||||||
|---|---|---|---|---|---|---|---|---|---|---|---|---|
| PV #1 | PV #2 | PV #3 | PV #4 | PV #5 | ||||||||
| IntegrationLimits | <math>~\lambda_1</math> | <math>~\Lambda_1</math> | <math>~\lambda_2</math> | <math>~\Lambda_2</math> | <math>~\lambda_3</math> | <math>~\Lambda_3</math> | <math>~\lambda_{4a}</math> | <math>~\Lambda_{4a}</math> | <math>~\lambda_{4b}</math> | <math>~\Lambda_{4b}</math> | <math>~\lambda_5</math> | <math>~\Lambda_5</math> |
| <math>1.911617</math> | <math>2.792593</math> | <math>2.792593</math> | <math>5.876190</math> | <math>5.876190</math> | <math>\infty</math> | <math>2.792593</math> | <math>8.924361</math> | <math>5.876190</math> | <math>8.924361</math> | <math>8.924361</math> | <math>\infty</math> | |
| VolumeFraction | <math>0.2530935</math> | <math>0.4392361</math> | <math>0.165292</math> | <math>0.0592404</math> | <math>0.0132544</math> | <math>0.082171</math> | ||||||
| Total Volume(nzones = 5000) | 0.99715 <math>~\Rightarrow~</math> Error = 2.9E-3 | |||||||||||
See Also
- Wikipedia's discussion of Toroidal Coordinates
- Determining the Gravitational Potential Using Toroidal Coordinates
- Ramblings Appendix Chapter: Determining the Relationships between Toroidal Coordinates and other Coordinate Systems
|
|---|
|
© 2014 - 2021 by Joel E. Tohline |












